logo
Zam贸wienia publiczne » Listopad 2009
04/11/2009 Og艂oszenie o wszcz臋ciu post臋powania

"Roboty instalacyjne elektryczne w budynkach zarz膮dzanych przez Przedsi臋biorstwo Gospodarki Komunalnej i Mieszkaniowej Sp. z o. o. w Inowroc艂awiu".

Numer sprawy: DMP.51/2009聽聽聽聽聽Inowroc艂aw, dnia 4 listopada 2009 r.聽聽

Numer og艂oszenia w BZP: 197643 - 2009;

data zamieszczenia 04/11/2009 r.

OG艁OSZENIE O WSZCZ臉CIU POST臉POWANIA

1. Nazwa i adres Zamawiaj膮cego: Przedsi臋biorstwo Gospodarki Komunalnej Mieszkaniowej Sp. z o.o. w Inowroc艂awiu

Adres pocztowy:

Ulica: ks. Piotra Wawrzyniaka 33

Kod: 88-100, Miejscowo艣膰: Inowroc艂aw

Telefon/ Faks 052 35 64 304,

REGON: 091581150, NIP: 556-080-85

e-mail: pgkim@poczta.internetdsl.pl

www.pgkimino.pl

S膮d Rejonowy w Bydgoszczy, XIII Wydzia艂 Gospodarczy Krajowego Rejestru S膮dowego Numer KRS 0000059483

REGON: 091581150 NIP: 556-080-08-85

Kapita艂 Zak艂adowy Sp贸艂ki: 2聽518聽500, 00 z艂

Konto: Bank Zachodni WBK S. A.O/ Inowroc艂aw聽聽聽聽聽 88 1090 1069 0000 0000 0701 3956

2. Tryb post臋powania: przetarg nieograniczony

Rodzaj zam贸wienia: roboty budowlane

3. Adres strony internetowej, na kt贸rej dost臋pna jest specyfikacja istotnych warunk贸w zam贸wienia: http://pgkim-inowroclaw.samorzady.pl

Op艂ata za otrzymanie specyfikacji istotnych warunk贸w zam贸wienia b臋dzie pokrywa膰 jedynie koszty jej druku oraz przekazania.

Wykonawca zainteresowany post臋powaniem powinien z艂o偶y膰 wniosek u zamawiaj膮cego z podaniem wszystkich danych firmy- niezb臋dnych do przekazywania zmian i zapyta艅 dotycz膮cych powy偶szego post臋powania.

Osobami uprawnionymi do kontakt贸w z wykonawcami s膮:

a) w cz臋艣ci formalnej zam贸wienia - Krystyna Glonek, tel.052 35 64 304,

b) w cz臋艣ci merytorycznej zam贸wienia - Mariusz Minta, tel. 052 35 64聽325.

4. Nazwa nadana zam贸wieniu: "Roboty instalacyjne elektryczne w budynkach zarz膮dzanych przez Przedsi臋biorstwo Gospodarki Komunalnej i Mieszkaniowej Sp. z o. o. w Inowroc艂awiu"

Zam贸wienie obejmuje: demonta偶 istniej膮cej instalacji, opraw i osprz臋tu, wykonanie bruzd, przepust贸w, uzupe艂nienie tynku, monta偶 osprz臋tu i opraw. Zam贸wienie zosta艂o podzielone na dwa zadania z mo偶liwo艣ci膮 sk艂adania ofert cz臋艣ciowych, w tym:

Zad. I. - obejmuje budynki przy ulicach: Pozna艅ska 33, Szkolna 3, 艢w. Ducha 40.

Zad. II. - obejmuje budynki przy ulicach: Kasztela艅ska 21, Kasztela艅ska 21 m1, Kasztela艅ska 21 m 1 a, Pozna艅ska 39, Or艂owska 39.

Wsp贸lny S艂ownik Zam贸wie艅 CPV: 45. 31.00.00 - 3roboty instalacyjne elektryczne

5. Nie dopuszcza si臋 sk艂adania ofert wariantowych.

6. Zamawiaj膮cy nie przewiduje zawarcia umowy ramowej, jak r贸wnie偶 nie dokona wyboru oferty najkorzystniejszej z zastosowaniem aukcji elektronicznej.

7. Zamawiaj膮cy nie przewiduje mo偶liwo艣ci ustanowienia dynamicznego systemu zakup贸w.

8. Termin wykonania zam贸wienia - do 29 grudnia 2009 r.

9. O udzielenie zam贸wienia mog膮 ubiega膰 si臋 wykonawcy, kt贸rzy:

a) posiadaj膮 uprawnienia do wykonywania okre艣lonej dzia艂alno艣ci lub czynno艣ci, je偶eli ustawy nak艂adaj膮 obowi膮zek posiadania takich uprawnie艅,

b) posiadaj膮 niezb臋dn膮 wiedz臋 i do艣wiadczenie oraz potencja艂 techniczny, a tak偶e dysponuj膮 osobami zdolnymi do wykonania zam贸wienia,

c) znajduj膮 si臋 w sytuacji ekonomicznej i finansowej zapewniaj膮cej wykonanie zam贸wienia,

d) nie podlegaj膮 wykluczeniu z post臋powania o udzielenie zam贸wienia.

Zamawiaj膮cy oceni spe艂nienie warunk贸w wymienionych w niniejszym rozdziale na podstawie z艂o偶onych przez Wykonawc臋, do oferty, o艣wiadcze艅 i dokument贸w.

Ocena spe艂niania warunk贸w dokonana zostanie na zasadzie:

聽聽聽聽聽聽聽聽聽聽聽聽聽聽聽聽聽聽聽聽聽聽聽聽聽聽聽聽聽聽聽聽聽聽聽聽聽聽聽聽聽聽聽聽聽聽聽聽聽 spe艂nia/ nie spe艂nia

10. W celu potwierdzenia, 偶e wykonawca posiada uprawnienie do wykonywania okre艣lonej dzia艂alno艣ci lub czynno艣ci oraz nie podlega wykluczeniu na podstawie art. 24 ustawy z dnia 29 stycznia 2004 r. - Prawo zam贸wie艅 publicznych, zwanej dalej ustaw膮, zamawiaj膮cy 偶膮da

nast臋puj膮cych dokument贸w:

a) aktualnego odpisu z w艂a艣ciwego rejestru albo aktualnego za艣wiadczenia o wpisie do ewidencji dzia艂alno艣ci gospodarczej, je偶eli odr臋bne przepisy wymagaj膮 wpisu do rejestru lub zg艂oszenia do ewidencji dzia艂alno艣ci gospodarczej, wystawionego nie wcze艣niej ni偶 6 miesi臋cy przed up艂ywem terminu sk艂adania ofert,

b) o艣wiadczenia wykonawcy, 偶e nie posiada zaleg艂o艣ci podatkowej wobec Naczelnika Urz臋du Skarbowego,

c) o艣wiadczenia wykonawcy, 偶e nie posiada zaleg艂o艣ci wobec Zak艂adu Ubezpiecze艅 Spo艂ecznych w op艂acaniu sk艂adek na ubezpieczenie spo艂eczne, zdrowotne oraz Fundusz Pracy.

10.1. W celu potwierdzenia posiadania przez wykonawc臋 niezb臋dnej wiedzy i do艣wiadczenia oraz os贸b zdolnych do wykonania zam贸wienia, zamawiaj膮cy 偶膮da nast臋puj膮cych dokument贸w:

a) uprawnie艅 budowlanych Wykonawcy lub Pracownik贸w w zakresie instalacji elektrycznej,

b) 艣wiadectwa kwalifikacyjnego "E"- eksp instalacji elektrycznej do 1 kV,

c) aktualnego wpisu do w艂a艣ciwych Izb Zawodowych.

10.2. W celu potwierdzenia, 偶e wykonawca znajduje si臋 w sytuacji ekonomicznej i finansowej zapewniaj膮cej wykonanie zam贸wienia zamawiaj膮cy 偶膮da nast臋puj膮cych dokument贸w:

a) polisy, a w przypadku jej braku innego dokumentu potwierdzaj膮cego, 偶e wykonawca jest ubezpieczony od odpowiedzialno艣ci cywilnej w zakresie prowadzonej dzia艂alno艣ci.

10.3. Wype艂nione nast臋puj膮ce za艂膮czniki:

a) o艣wiadczenie w trybie art.22 ust.1 pkt.1-4 ustawy Pzp (za艂. nr 2 do siwz).

b) formularz ofertowy wykonawcy (za艂. nr 1 do swiz).

10.4. Kosztorys ofertowy, kt贸ry musi by膰 integraln膮 cz臋艣ci膮 z艂o偶onej oferty. Podstaw膮 do opracowania przez Wykonawc臋 kosztorysu ofertowego jest przedmiar rob贸t, b臋d膮cy za艂膮cznikiem do siwz. Wykonawca mo偶e przyj膮膰 dowoln膮 form臋 i podstaw臋 wyceny rob贸t.

11.Zamawiaj膮cy nie wymaga wadium.

12.Kryteria oceny ofert i ich znaczenie:


a) cena 80 %

b) gwarancja 20 %

13. Miejsce i termin sk艂adania ofert: Przedsiebiorstwo Gospodarki Komunalnej i Mieszkaniowej Sp. z o. o. w Inowroc艂awiu, ul. ks. Piotra Wawrzyniaka 33, 88-100 Inowroc艂aw, sekretariat 1 pi臋tro, do dnia 25 listopada 2009 r. do godz.: 09:50.

14. Termin zwi膮zania ofert膮 30 dni.

15. Miejsce i termin otwarcia ofert: Przedsi臋biorstwo Gospodarki Komunalnej Mieszkaniowej Sp. z o.o., ul. ks. Piotra Wawrzyniaka 33, 88-100 Inowroc艂aw, salka konferencyjna 1 pi臋tro w dniu 25 listopada 2009 r. o godz.: 10:00.

16. Zabezpieczenie nale偶ytego wykonania umowy (znwu) w wysoko艣ci 2 % od ustalonej warto艣ci zam贸wienia.

17. Zamawiaj膮cy nie przewiduje zam贸wienia uzupe艂niaj膮ce, o kt贸rych mowa w art. 67 ust.1 pkt 6, ustawy Prawo zam贸wie艅 publicznych.

Podpis:

TypRozmiarPobierzKomentarzData dodaniaLicznik 
.DOC230 KB POBIERZSpecyfikacja istotnych warunk贸w zam贸wienia.2009-11-04 13:23:35549
.PDF52 KB POBIERZZa艂. nr 5 do siwz- STWiOR2009-11-04 13:23:56635
.PDF44 KB POBIERZZa艂. nr 6 do siwz- przedmiar - Zad.I.2009-11-04 13:25:45600
.PDF37 KB POBIERZza艂. nr 6 do siwz- przedmiar- Zad.I.2009-11-04 13:26:08564
.PDF36.6 KB POBIERZZa艂. nr 6 do siwz- przedmiar- Zad. I.2009-11-04 13:26:32605
.PDF43.4 KB POBIERZza艂. nr 6 do siwz- przedmiar- Zad.II.2009-11-04 13:27:03542
.PDF34.8 KB POBIERZza艂. nr 6 do siwz- przedmiar- Zad. II.2009-11-04 13:27:30543
.PDF34.8 KB POBIERZza艂. nr 6 do siwz- przedmiar - Zad.II.2009-11-04 13:28:08580
.PDF37.4 KB POBIERZza艂. nr 6 do siwz-przedmiar- Zad.II.2009-11-04 13:28:54570
.PDF23.9 KB POBIERZza艂. nr 6 do siwz- przedmiar-Zad.II.2009-11-04 13:29:32563
.PDF43.7 KB POBIERZZmiana przedmiaru w zad. I. - Pozna艅ska 332009-11-05 08:29:14581
graf.928.6 KB POBIERZOdpowiedzi do pyta艅.2009-11-10 11:41:52525
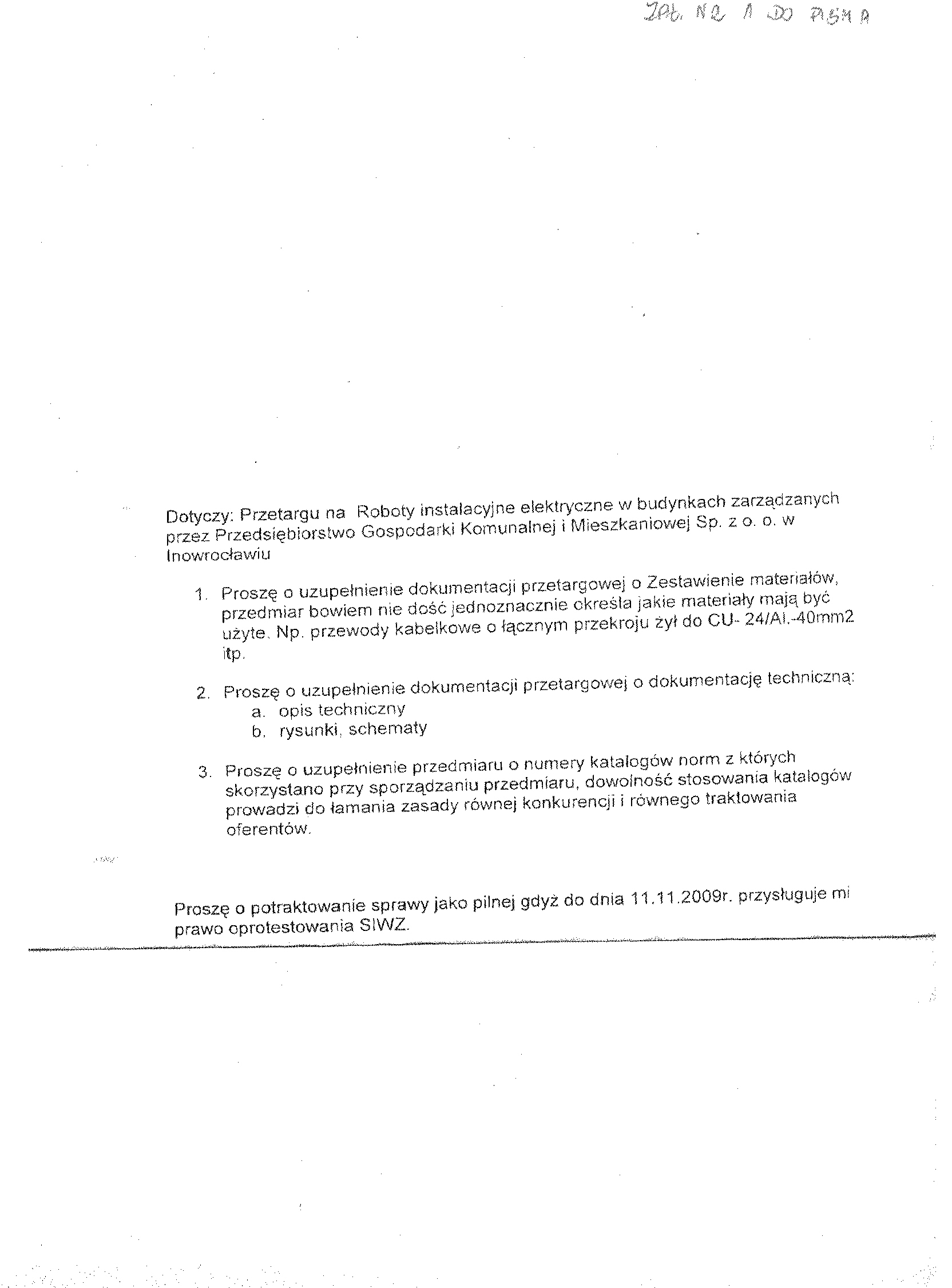
graf.423.8 KB POBIERZTre艣膰 pyta艅.2009-11-10 11:42:16566
graf.867.6 KB POBIERZUzupe艂nienie siwz2009-11-10 11:42:56555
graf.542.8 KB POBIERZZawiadomienie o wyborze najkorzystniejszej oferty2009-11-27 13:03:25431
graf.185.7 KB POBIERZs.22009-11-27 13:03:40423
graf.346.5 KB POBIERZZbiorcze zestawienie ofert- zad.I.2009-11-27 13:04:26426
graf.275.6 KB POBIERZZbiorcze zestawienie ofert- Zad.II.2009-11-27 13:05:05417
graf.231.8 KB POBIERZOferta odrzucona2009-11-27 13:05:23413
graf.601.1 KB POBIERZOg艂oszenie o udzieleniu zam贸wienia BZP nr 242331-20092009-12-14 12:10:53431
graf.474.4 KB POBIERZs.22009-12-14 12:11:09388

Autor : kg
Zredagowa艂(a) : Krystyna Glonek
Data wprowadzenia : 2009-11-04 13:22:34
Data ostatniej modyfikacji : 2009-11-04 13:22:34
Liczba wy艣wietle艅 : 1845



licznik odwiedzin: 5741307