logo
Zamówienia publiczne » Maj 2010
18/05/2010 Ogłoszenie o zamówieniu

Leasing nowego pojazdu silnikowego do transportu towarów dla Przedsiębiorstwa Gospodarki Komunalnej i Mieszkaniowej Sp. z o. o. w Inowrocławiu

TypRozmiarPobierzKomentarzData dodaniaLicznik 
.DOC253.5 KB POBIERZSpecyfikacja istotnych warunków zamówienia2010-05-18 10:07:07520
graf.269.9 KB POBIERZzał. nr 5 do siwz2010-05-18 10:07:24511
graf.193.2 KB POBIERZs.22010-05-18 10:07:36513
graf.84.1 KB POBIERZs.32010-05-18 10:07:52508
graf.206.7 KB POBIERZzał. nr 6 do siwz2010-05-18 10:08:10516
graf.271.1 KB POBIERZzał. nr 7 do siwz2010-05-18 10:08:34464
.DOC42.5 KB POBIERZOgłoszenie2010-05-18 10:13:33418
graf.264.4 KB POBIERZOdpowiedzi na pytania2010-05-21 08:46:38475
graf.210.2 KB POBIERZTreść pytań2010-05-21 08:48:22512
.ZIP3946.4 KB POBIERZKRS2010-05-21 08:50:13469
.ZIP1543.2 KB POBIERZF012010-05-21 08:51:20483
.ZIP1195.2 KB POBIERZBilans2010-05-21 08:52:02449
graf.259.9 KB POBIERZOdpowiedzi na zapytania-II2010-05-26 14:11:10451
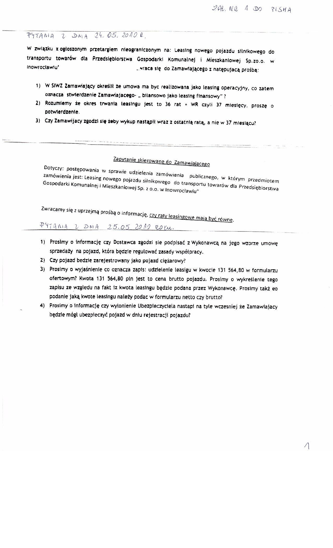
graf.217.3 KB POBIERZTreść pytań2010-05-26 14:11:33463
graf.243.3 KB POBIERZOdpowiedzi na pytania - III2010-05-28 08:56:53466
graf.148.6 KB POBIERZTreść pytań2010-05-28 08:57:09395
graf.231.9 KB POBIERZZawiadomienie o wyborze najkorzystniejszej oferty2010-06-07 12:25:45401
graf.197.9 KB POBIERZZbiorcze zestawienie ofert2010-06-07 12:26:11345
graf.147.2 KB POBIERZStreszczenie oceny i porównanie złożonych ofert2010-06-07 12:26:37403
?17.8 KB POBIERZOgłoszenie o udzieleniu zamówienia BZP nr 196096-20102010-07-06 08:22:55347

Autor : kg
ZredagowaÅ‚(a) : Krystyna Glonek
Data wprowadzenia : 2010-05-18 10:00:41
Data ostatniej modyfikacji : 2010-05-18 10:12:42
Liczba wyÅ›wietleÅ„ : 1688

Redaktor  Data modyfikacji 
Krystyna Glonek  18.05.2010 10:00pokaż tÄ… wersjÄ™



licznik odwiedzin: 5679718