|
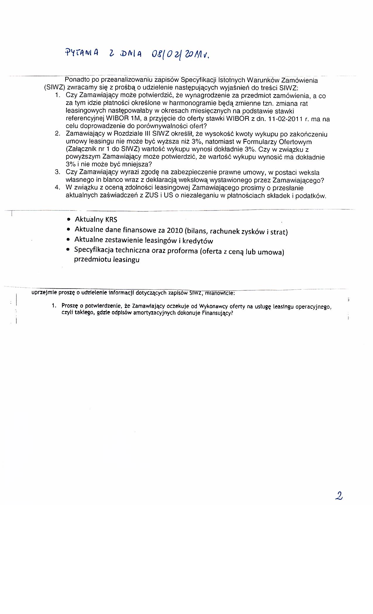
 | Typ | Rozmiar | Pobierz | Komentarz | Data dodania | Licznik  |   ? | 22.4 KB  | POBIERZ | OgÅ‚oszenie | 2011-02-04 09:56:55 | 447 |   .DOC | 243 KB  | POBIERZ | Specyfikacja istotnych warunków zamówienia | 2011-02-04 09:58:03 | 587 |   .DOC | 23.5 KB  | POBIERZ | ZaÅ‚. nr 5 do siwz- OT | 2011-02-04 09:58:42 | 567 |    graf. | 206.7 KB  | POBIERZ | zaÅ‚. nr 6 do siwz -NIP | 2011-02-04 09:59:02 | 501 |    graf. | 271.1 KB  | POBIERZ | zaÅ‚. nr 7 do siwz-Regon | 2011-02-04 09:59:43 | 565 |    graf. | 268.6 KB  | POBIERZ | Odpowiedzi na zapytania | 2011-02-09 12:28:23 | 474 |    graf. | 193.6 KB  | POBIERZ | s.2 | 2011-02-09 12:28:35 | 535 |    graf. | 302.7 KB  | POBIERZ | Treść pytaÅ„ | 2011-02-09 12:28:53 | 548 |    graf. | 236.3 KB  | POBIERZ | s.2 | 2011-02-09 12:29:09 | 495 |   .PDF | 859.7 KB  | POBIERZ | Umowa Spółki | 2011-02-09 12:29:40 | 667 |    graf. | 300 KB  | POBIERZ | ZUS | 2011-02-09 12:30:14 | 512 |    graf. | 310.1 KB  | POBIERZ | NUS | 2011-02-09 12:30:27 | 524 |    graf. | 262.3 KB  | POBIERZ | s.2 | 2011-02-09 12:30:39 | 506 |   .ZIP | 3235.9 KB  | POBIERZ | KRS | 2011-02-09 12:31:43 | 512 |   .PDF | 2478.3 KB  | POBIERZ | sprawozdanie 2009 | 2011-02-09 12:32:41 | 553 |   .ZIP | 1706.3 KB  | POBIERZ | sprawozdanie 2010 | 2011-02-09 12:33:24 | 532 |    graf. | 142.8 KB  | POBIERZ | zobowiÄ…zania | 2011-02-09 12:34:10 | 538 |    graf. | 201.4 KB  | POBIERZ | s.2 | 2011-02-09 12:34:24 | 538 |    graf. | 288.4 KB  | POBIERZ | s.3 | 2011-02-09 12:34:38 | 630 |    graf. | 255.9 KB  | POBIERZ | Odpowiedzi na zapytania- II | 2011-02-10 10:01:06 | 526 |    graf. | 80.5 KB  | POBIERZ | Treść pytaÅ„ | 2011-02-10 10:01:18 | 570 |    graf. | 233.7 KB  | POBIERZ | Odpowiedzi na zapytania-III | 2011-02-11 13:40:19 | 480 |    graf. | 204 KB  | POBIERZ | Treść pytaÅ„ | 2011-02-11 13:40:46 | 455 |    graf. | 216.6 KB  | POBIERZ | Zawiadomienie o unieważnieniu postÄ™powania. | 2011-02-18 11:57:00 | 469 |  
 
 |
 | Autor :  | KG |  | ZredagowaÅ‚(a) :  | Krystyna Glonek |  | Data wprowadzenia :  | 2011-02-04 09:56:26 |  | Data ostatniej modyfikacji :  | 2011-02-04 09:56:26 |  | Liczba wyÅ›wietleÅ„ :  | 1740 |  
  |