logo
Zam贸wienia publiczne » Kwiecie艅 2011
05/04/2011 Og艂oszenie o zam贸wieniu - DMP. 19/2011

Wymiana i przebudowa pion贸w wodno-kanalizacyjnych oraz wykonanie ogrodzenia i zadaszenia pojemnik贸w na odpady sta艂e w budynku Wsp贸lnoty Mieszkaniowej przy ulicy 艁okietka 37 w Inowroc艂awiu

TypRozmiarPobierzKomentarzData dodaniaLicznik 
?30.2 KB POBIERZOg艂oszenie2011-04-05 08:59:13473
.DOC371 KB POBIERZSpecyfikacja istotnych warunk贸w zam贸wienia2011-04-05 09:00:50650
.ZIP3966.8 KB POBIERZza艂. nr 8 do siwz- STWiOR - Zad. I.2011-04-05 09:03:14556
.DOC159.5 KB POBIERZZad. II.2011-04-05 09:04:00609
.PDF44 KB POBIERZza艂. nr 9 do siwz- przedmiar- zad.I.2011-04-05 09:04:58607
.PDF42.9 KB POBIERZB-12011-04-05 09:05:58716
.PDF43.5 KB POBIERZC-12011-04-05 09:06:10744
.PDF42.7 KB POBIERZF-12011-04-05 09:06:41640
.PDF43.3 KB POBIERZG-12011-04-05 09:06:521080
.PDF43.3 KB POBIERZI-12011-04-05 09:07:06614
graf.332.2 KB POBIERZZad. II.2011-04-05 09:10:32541
graf.87.1 KB POBIERZs.22011-04-05 09:10:42555
.ZIP2620.3 KB POBIERZza艂. nr 10 do siwz - projekt - zad. I.2011-04-05 09:12:31550
.ZIP3783.3 KB POBIERZZad. II.2011-04-05 09:13:52584
graf.246.3 KB POBIERZOdpowiedzi na pytania2011-04-15 12:18:43520
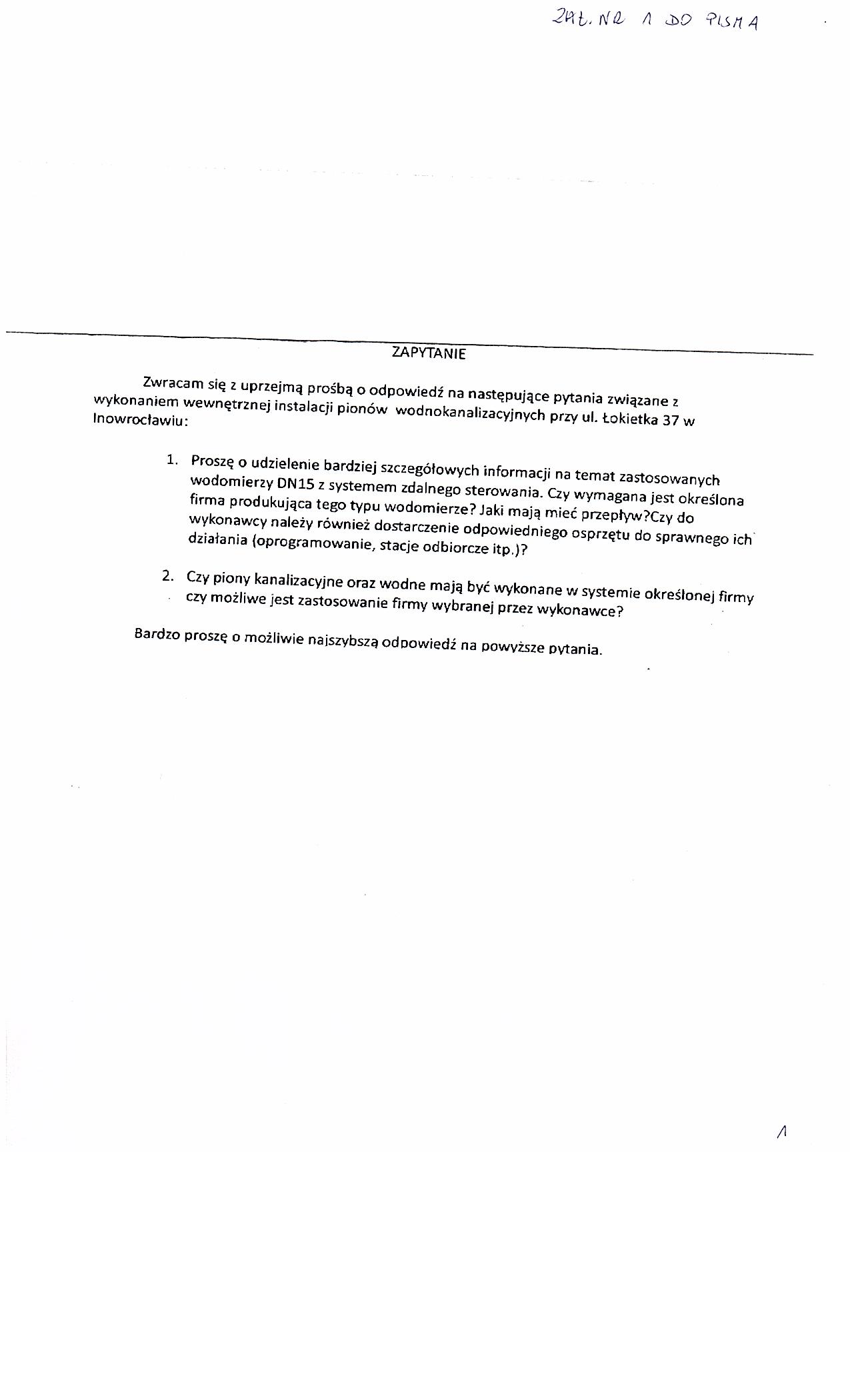
graf.129.5 KB POBIERZTre艣膰 pyta艅2011-04-15 12:19:06538
graf.262.2 KB POBIERZWyb贸r i uniewa偶. Zad. II.2011-05-06 11:47:17434
graf.256.7 KB POBIERZs.12011-05-06 11:47:33423
?19 KB POBIERZOg艂oszenie o udzieleniu zam贸wienia- BZP nr 1419392011-05-19 08:17:08471

Autor : kg
Zredagowa艂(a) : Krystyna Glonek
Data wprowadzenia : 2011-04-05 08:58:51
Data ostatniej modyfikacji : 2011-04-05 08:58:51
Liczba wy艣wietle艅 : 1889



licznik odwiedzin: 5741146