logo
Zam贸wienia publiczne » Maj 2011
24/05/2011 Og艂oszenie o zam贸wieniu - DMP.25/2011

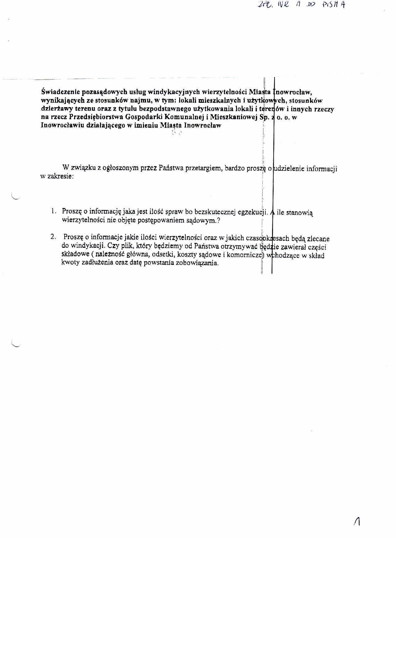
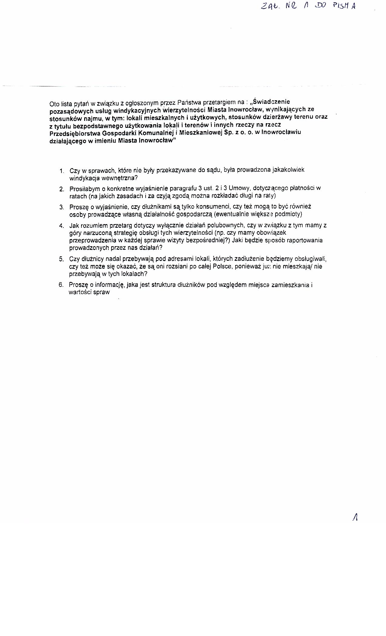
艢wiadczenie pozas膮dowych us艂ug windykacyjnych wierzytelno艣ci Miasta Inowroc艂awia, wynikaj膮cych ze stosunk贸w najmu, w tym: lokali mieszkalnych i u偶ytkowych, stosunk贸w dzier偶awy terenu oraz z tytu艂u bezpodstawnego u偶ytkowania lokali i teren贸w i nnych rzeczy na rzecz Przedsi臋biorstwa Gospodarki Komunalnej i Mieszakniowej Sp. z o. o. w Inowroc艂awiu dzia艂aj膮cego w imieniu Miasta Inowroc艂aw

TypRozmiarPobierzKomentarzData dodaniaLicznik 
.DOC338 KB POBIERZSpecyfikacja istotnych warunk贸w zam贸wienia2011-05-24 11:17:21696
.ZIP1544.8 KB POBIERZZa艂. nr 6 do siwz2011-05-24 11:18:00573
.ZIP237.7 KB POBIERZza艂. nr 7 do siwz2011-05-24 11:18:37542
.ZIP2650.3 KB POBIERZza艂. nr 8 do siwz2011-05-24 11:19:30544
graf.281.7 KB POBIERZOdpowiedzi na zapytania2011-05-30 14:05:43562
graf.150.8 KB POBIERZTre艣膰 pyta艅2011-05-30 14:06:09484
graf.319.3 KB POBIERZOdpowiedzi na zapytania II2011-06-01 11:52:43520
graf.193.7 KB POBIERZTre艣膰 pyta艅 II2011-06-01 11:53:12507
graf.259.9 KB POBIERZOdpowiedzi na zapytania III2011-06-02 14:23:02431
graf.184.7 KB POBIERZTre艣膰 pyta艅 III2011-06-02 14:23:19427
graf.309.9 KB POBIERZZa艂. nr 3 do umowy2011-06-02 14:23:40498
graf.304.7 KB POBIERZWyb贸r najkorzystniejszej oferty wraz z informacj膮 o wykluczeniu 2 wykonawc贸w2011-06-21 11:36:38477
graf.311.4 KB POBIERZs.22011-06-21 11:37:01439
graf.123.1 KB POBIERZs.32011-06-21 11:37:11441
?19.3 KB POBIERZOg艂oszenie o udzieleniu zam贸wienia - BZP nr 184767-20112011-07-06 08:15:21420

Autor : kg
Zredagowa艂(a) : Krystyna Glonek
Data wprowadzenia : 2011-05-24 11:16:30
Data ostatniej modyfikacji : 2011-05-24 11:16:30
Liczba wy艣wietle艅 : 1736



licznik odwiedzin: 5741966