logo
Zamówienia publiczne » Lipiec 2011
19/07/2011 Ogłoszenie o zamówieniu DMP.42/2011

Utwardzenie dojazdu (drogi) kostką brukową betonową do Zakładu Usług Komunalnych przy ulicy Toruńskiej 165 w Inowrocławiu

TypRozmiarPobierzKomentarzData dodaniaLicznik 
?26 KB POBIERZOgłoszenie2011-07-19 10:22:26419
.DOC318 KB POBIERZSpecyfikacja istotnych warunków zamówienia2011-07-19 10:24:00459
.DOC75.5 KB POBIERZZał.nr 7 do siwz- STWiOR2011-07-19 10:26:01437
graf.222 KB POBIERZZał. nr 8 do siwz- przedmiar2011-07-19 10:26:29405
graf.150.8 KB POBIERZs.22011-07-19 10:26:43430
graf.237.8 KB POBIERZOdpowiedzi na zapytania2011-07-29 08:05:41462
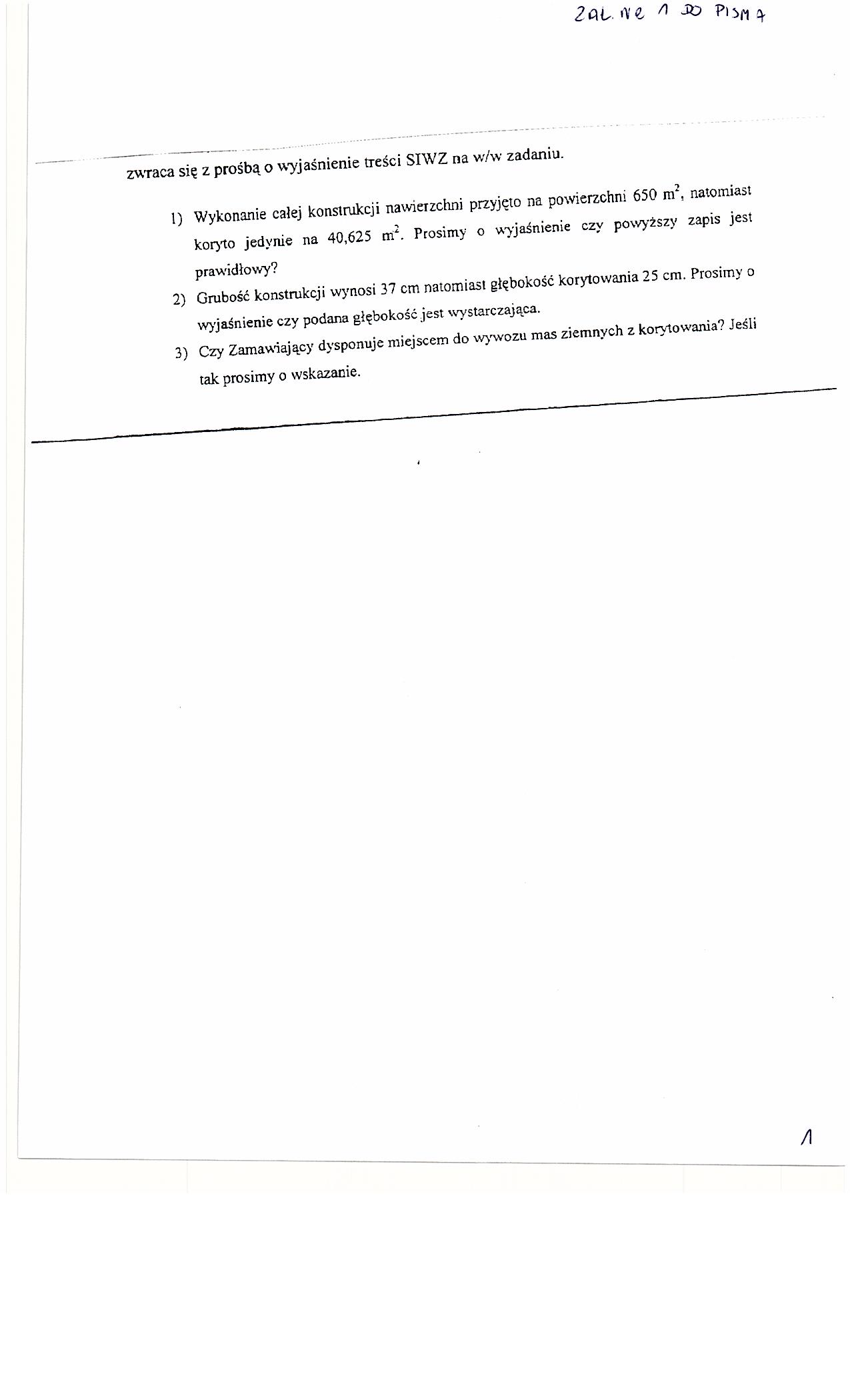
graf.109.1 KB POBIERZTreść pytań2011-07-29 08:05:57426
graf.160 KB POBIERZNowy przedmiar- zał. nr 8 do siwz2011-07-29 08:06:27451
graf.284.8 KB POBIERZUnieważnienie postępowania2011-08-09 13:30:16458
graf.172.6 KB POBIERZs.22011-08-09 13:30:29423

Autor : kg
ZredagowaÅ‚(a) : Krystyna Glonek
Data wprowadzenia : 2011-07-19 10:22:00
Data ostatniej modyfikacji : 2011-07-19 10:22:00
Liczba wyÅ›wietleÅ„ : 1549



licznik odwiedzin: 5741606