logo
Zam贸wienia publiczne » Stycze艅 2007
26.01.2007 r. Og艂oszenie o zam贸wieniu.

"Utrzymanie czysto艣ci wraz z usuwaniem skutk贸w zimy na terenach oraz w budynkach komunalnych i prywatnych administrowanych przez Przedsiebiorstwo Gospodarki Komunalnej i Mieszkaniowej Sp. zo.o. w Inowroc艂awiu".

Urz膮d Zam贸wie艅 Publicznych

Al. Szucha 2/4, 00-582 Warszawa

Faks: (022) 45 87 700

Przesy艂anie og艂osze艅 on-line: http://www.uzp.gov.pl

OG艁OSZENIE O ZAM脫WIENIU

Roboty budowlane聽聽聽聽聽聽聽聽聽聽聽聽聽聽publikacja obowi膮zkowa聽聽聽聽聽聽 X

Dostawy聽聽聽聽聽聽聽聽聽聽聽聽聽聽聽聽聽聽聽聽聽聽聽聽聽聽聽聽 publikacja nieobowi膮zkowa

Us艂ugi聽聽聽X

SEKCJA I: ZAMAWIAJ膭CY

I.1) Nazwa, adresy i osoby upowa偶nione do kontakt贸w

Nazwa:

Przedsi臋biorstwo Gospodarki Komunalnej i Mieszkaniowej Sp. z o.o. w Inowroc艂awiu

Adres pocztowy:

ul. ks. Piotra Wawrzyniaka 33

Miejscowo艣膰:

Inowroc艂aw

Kod pocztowy:

88-100

Wojew贸dztwo:

Kujawsko-pomorskie

Nazwisko osoby upowa偶nionej do kontakt贸w:
Krystyna Glonek

Tel.:

052 35 64 304

E-mail:

pgkim@poczta.internetdsl.pl

Fax:

052 35 64 304

Adresy internetowe (je偶eli dotyczy)

Og贸lny adres zamawiaj膮cego (URL): http://pgkim-inowroclaw.samorzady.pl

Adres profilu nabywcy (URL):

Adres internetowy, pod kt贸rym dost臋pne s膮 informacje dotycz膮ce dynamicznego systemu zakup贸w (URL):

Wi臋cej informacji mo偶na uzyska膰 pod adresem:

X jak podano wy偶ej dla osoby upowa偶nionej do kontakt贸w

Inny: prosz臋 wype艂ni膰 za艂膮cznik A.I

Specyfikacj臋 istotnych warunk贸w zam贸wienia mo偶na uzyska膰 pod adresem:

X jak podano wy偶ej dla osoby upowa偶nionej do kontakt贸w

Inny: prosz臋 wype艂ni膰 za艂膮cznik A.II

Wnioski o dopuszczenie do udzia艂u w post臋powaniu lub oferty nale偶y przesy艂a膰 na adres:

X jak podano wy偶ej dla osoby upowa偶nionej do kontakt贸w

Inny: prosz臋 wype艂ni膰 za艂膮cznik A.III

I.2) Rodzaj zamawiaj膮cego i g艂贸wny przedmiot lub przedmioty dzia艂alno艣ci

Administracja rz膮dowa centralna

Administracja rz膮dowa terenowa

Administracja samorz膮dowa

Podmiot prawa publicznego

Organ kontroli pa艅stwowej lub ochrony prawa, s膮d lubtrybuna艂

Pa艅stwowa szko艂a wy偶sza

Instytucja ubezpieczenia spo艂ecznego i zdrowotnego

Samodzielny publiczny zak艂ad opieki zdrowotnej

Inny (prosz臋 okre艣li膰): Sp贸艂ka z ograniczon膮 odpowiedzialno艣ci膮, w艂asno艣膰 samorz膮dowa.

Og贸lne us艂ugi publiczne

Obrona

Porz膮dek i bezpiecze艅stwo publiczne

艢rodowisko

Sprawy gospodarcze i finansowe

Zdrowie

Budownictwo i obiekty komunalne

Ochrona socjalna

Rekreacja, kultura i religia

Edukacja

Inne (prosz臋 okre艣li膰): zarz膮dzanie nieruchomo艣ciami mieszkalnymi, zarz膮dzanie nieruchomo艣ciami na zasadzie bezpo艣redniej p艂atno艣ci lub kontraktu.

Zamawiaj膮cy dokonuje zam贸wienia w imieniu innych zamawiaj膮cych

tak 聽聽nie X聽聽

SEKCJA II: PRZEDMIOT ZAM脫WIENIA

II.1) Opis

II.1.1) Nazwa nadana zam贸wieniu przez zamawiaj膮cego

„Utrzymanie czysto艣ci wraz z usuwaniem skutk贸w zimy na terenach oraz w budynkach komunalnych i prywatnych administrowanych przez Przedsi臋biorstwo Gospodarki Komunalnej i Mieszkaniowej Sp. z o.o. w Inowroc艂awiu”.

II.1.2) Rodzaj zam贸wienia oraz miejsce wykonania rob贸t budowlanych, realizacji dostaw lub 艣wiadczenia us艂ug
(Wybra膰 wy艂膮cznie jedn膮 kategori臋 – roboty budowlane, dostawy lub us艂ugi)

(a) Roboty budowlane聽聽聽聽聽聽聽聽聽聽聽聽聽聽聽聽聽聽聽聽

(b) Dostawy聽聽聽聽聽聽聽聽聽聽聽聽聽聽聽聽聽聽聽聽聽聽聽聽聽聽聽聽聽聽聽聽聽

(c) Us艂ugi聽聽聽聽聽聽聽聽聽X

Wykonanie

Zaprojektowanie i wykonanie

Realizacja obiektu budowlanego za pomoc膮 dowolnych 艣rodk贸w, zgodnie z wymaganiami okre艣lonymi przez zamawiaj膮cego

Kupno

Dzier偶awa

Najem

Leasing

Inne

Kategoria

us艂ug:聽聽聽聽聽聽 nr 14

G艂贸wne miejsce lub lokalizacja rob贸t budowlanych

G艂贸wne miejsce realizacji dostawy

G艂贸wne miejsce 艣wiadczenia us艂ug

Inowroc艂aw

II.1.3) Og艂oszenie dotyczy

Zam贸wienia publicznego聽聽 X 聽聽聽聽聽聽聽聽聽聽聽聽聽聽聽聽聽聽Ustanowienia dynamicznego systemu zakup贸w (DSZ)聽聽

Zawarcia umowy ramowej 聽聽聽聽聽聽聽聽聽聽聽聽聽聽聽聽聽聽聽聽聽聽聽聽聽聽聽聽聽聽聽聽聽聽聽聽聽聽聽聽聽聽聽聽聽聽聽聽聽聽聽聽聽聽聽聽聽聽聽聽聽聽聽聽聽聽聽聽

II.1.4) Informacje na temat umowy ramowej (je偶eli dotyczy)

Umowa ramowa z kilkoma wykonawcami聽聽聽聽聽聽聽聽聽聽聽聽聽聽聽聽聽聽聽聽聽聽聽聽聽聽聽聽

Maksymalna liczba 
wykonawc贸w planowanej umowy ramowej

Umowa ramowa z jednym wykonawc膮聽聽聽聽聽聽聽聽聽聽聽聽聽聽聽聽

Czas trwania umowy ramowej:Okres w latach: lub miesi膮cach: 

Warto艣膰 umowy ramowej (poda膰 wy艂膮cznie dane liczbowe):

Warto艣膰 bez VAT:聽聽聽聽聽聽聽聽聽聽聽聽聽聽聽聽聽聽聽聽聽聽聽聽聽聽聽聽聽聽聽聽聽聽聽聽聽聽 Waluta 聽聽聽聽聽聽聽聽聽聽

lub zakres:mi臋dzy聽聽聽 聽聽聽聽聽聽聽聽聽聽聽聽聽 a聽聽聽 聽聽聽聽聽聽聽聽聽聽聽聽聽聽聽聽聽聽聽聽聽聽聽 Waluta: 聽聽聽聽聽

Cz臋stotliwo艣膰 oraz warto艣膰 zam贸wie艅, kt贸re zostan膮 udzielone (je偶eli mo偶liwe do okre艣lenia): 聽聽聽聽聽聽聽聽聽聽聽聽聽聽聽聽聽聽聽聽

II.1.5) Okre艣lenie przedmiotu zam贸wienia

Przedmiotem zam贸wienia jest wykonywanie us艂ug zwi膮zanych z utrzymaniem czysto艣ci: powierzchni wewn臋trznych budynk贸w, tj. klatki schodowe, piwnice, strych贸w oraz sprz膮tanie pomieszcze艅 biurowych PGKiM Sp. z o.o. Powierzchni zewn臋trznych, tj. chodnik贸w, wjazd贸w, podw贸rek i ziele艅c贸w oraz od艣nie偶anie w okresie zimowym chodnik贸w wzd艂u偶 budynk贸w i posesji od strony ulicy, chodnik贸w wewn臋trznych, wjazd贸w, dojazd贸w i doj艣膰 do 艣mietnik贸w, na posesjach i nieruchomo艣ciach.

Zam贸wienie podzielona na 2 zadnia z mo偶liwo艣ci膮 sk艂adania ofert cz臋艣ciowych:

Zad. I. – usuwanie czysto艣ci oraz usuwanie skutk贸w zimy w budynkach komunalnych i prywatnych administrowanych przezPGKiM Sp. z o.o. w Inowroc艂awiu – ROM 1,

Zad. II. - usuwanie czysto艣ci oraz usuwanie skutk贸w zimy w budynkach komunalnych i prywatnych administrowanych przezPGKiM Sp. z o.o. w Inowroc艂awiu – ROM 2.

II.1.6) Informacja o o艣wiadczeniach i dokumentach potwierdzaj膮cych spe艂nianie przez oferowane dostawy, us艂ugi lub roboty budowlane wymaga艅 okre艣lonych przez zamawiaj膮cego

Jak w punkcie III.2)

II.1.7) Wsp贸lny S艂ownik Zam贸wie艅 (CPV)

S艂ownik g艂贸wny

S艂ownik uzupe艂niaj膮cy (je偶eli dotyczy)

TypRozmiarPobierzKomentarzData dodaniaLicznik 
.DOC191 KB POBIERZog艂oszenie o zam贸wieniu2007-01-26 11:45:41416
.DOC348 KB POBIERZspecyfikacja istotnych warunk贸w zam贸wienia.2007-01-26 11:46:37495
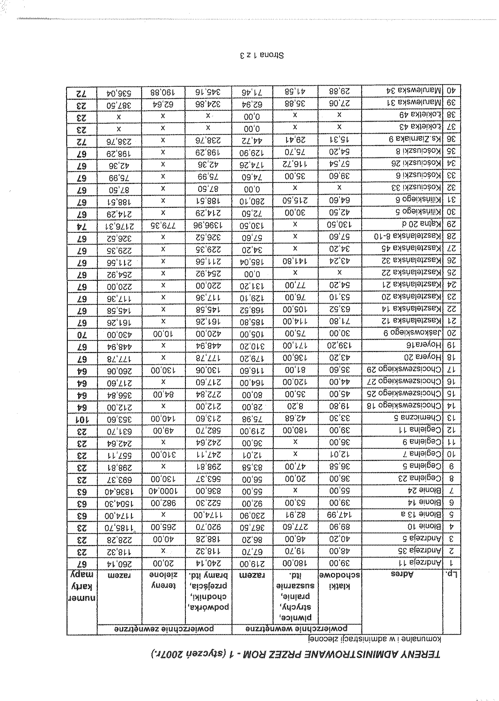
graf.1831.4 KB POBIERZza艂. nr 2 do umowy - str. 12007-01-26 11:47:47394
graf.1807.2 KB POBIERZza艂. nr 2 do umowy - str. 22007-01-26 11:48:53434
graf.1919 KB POBIERZza艂. nr 2 do umowy - str. 32007-01-26 11:50:08385
graf.141.5 KB POBIERZza艂. nr 2 do umowy - str. 42007-01-26 11:50:57385
graf.1190 KB POBIERZza艂. nr 3 do umowy - str. 12007-01-26 11:52:45403
graf.1166.9 KB POBIERZza艂. nr 3 do umowy - str. 22007-01-26 11:54:38387
graf.137.8 KB POBIERZza艂. nr 3 do umowy - str. 32007-01-26 11:56:37392
graf.218.5 KB POBIERZza艂. nr 3 do umowy - str. 42007-01-26 11:57:00366
.DOC28.5 KB POBIERZOg艂oszenie o wyniku post臋powania.2007-02-22 15:29:20447

Autor : kg
Zredagowa艂(a) : Krystyna Glonek
Data wprowadzenia : 2007-01-26 11:44:11
Data ostatniej modyfikacji : 2007-01-26 11:44:11
Liczba wy艣wietle艅 : 1532



licznik odwiedzin: 5741265