logo
Zam贸wienia publiczne » Luty 2007
08.02.2007 r. Og艂oszenie o wszcz臋ciu post臋powania.

"Udzielenie kredytu inwestycyjnego o warto艣ci 101.982,80 z艂 dla Wsp贸lnoty Mieszkaniowej przy ulicy Grabskiego 13-15 w Inowroc艂awiu".

Znak sprawy: DMP. 21/2007聽聽聽聽聽聽聽聽聽聽聽聽聽聽聽聽聽聽聽聽聽聽聽聽聽聽聽聽聽聽聽聽聽聽聽聽聽聽聽聽 Inowroc艂aw, dnia 8 lutego 2007 r.聽聽聽

Og艂oszenie o wszcz臋ciu post臋powania

o warto艣ci poni偶ej 60 000 EURO

1.聽聽聽聽聽 Zamawiaj膮cy: Wsp贸lnota Mieszkaniowa przy ulicy Grabskiego 13-15 w Inowroc艂awiu, w imieniu i na rzecz kt贸rej dzia艂a na mocy umowy o administrowanie,

Przedsi臋biorstwo Gospodarki Komunalnej i Mieszkaniowej Sp贸艂ka z o.o.

Ulica: ks. Piotra Wawrzyniaka 33

Kod: 88-100, Miejscowo艣膰: Inowroc艂aw

Telefon / faks 052 35 64聽304

e-mail: pgkim@poczta.internetdsl.pl

S膮d Rejonowy w Bydgoszczy, XIII Wydzia艂 Gospodarczy Krajowego Rejestru S膮dowego Numer KRS 0000059483

REGON: 091581150 NIP: 556-080-08-85

Kapita艂 zak艂adowy Sp贸艂ki: 2聽118聽500, 00 z艂

Konto: Bank Zachodni WBK S. A.O/ Inowroc艂aw聽聽聽聽聽 88 1090 1069 0000 0000 0701 3956

2.聽聽聽聽聽 Og艂aszaprzetarg nieograniczony na:

„Udzielenie kredytu inwestycyjnego o warto艣ci 101.982,80 z艂 dla Wsp贸lnoty Mieszkaniowej przy ulicy Grabskiego 13-15 w Inowroc艂awiu”.

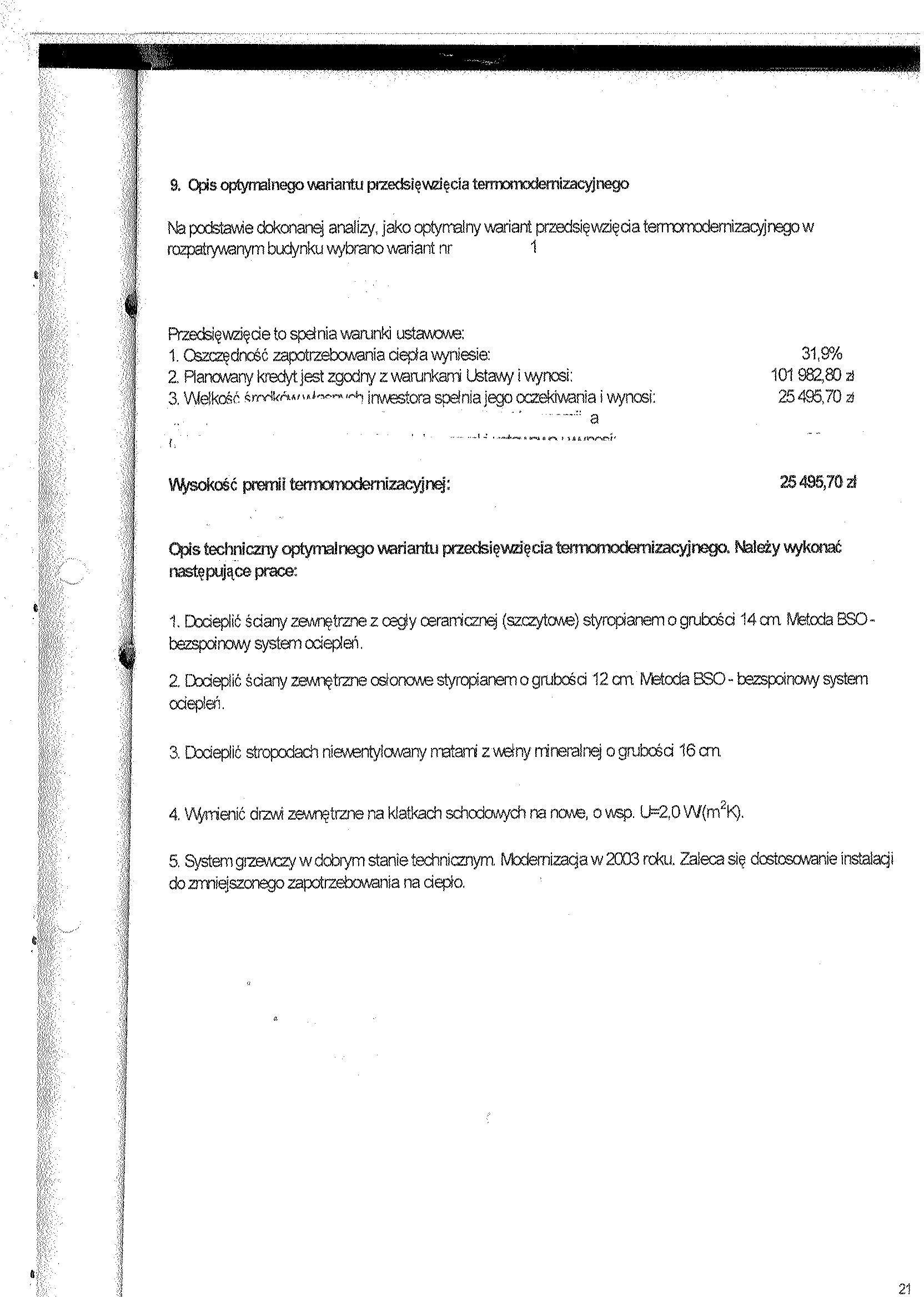
3. Przedmiotem zam贸wienia s膮: koszty udzielonego kredytu na termomodernizacj臋 z premi膮 Banku Gospodarstwa Krajowego - dotycz膮cego budynku Wsp贸lnoty Mieszkaniowejprzy ulicy Grabskiego 13-15 w Inowroc艂awiu.

3.2. Warto艣膰 kredytu: 101.982,80 z艂.

3.3. Wsp贸lny s艂ownik zam贸wie艅 (CPV): 66130000 – 0 ³ 聽聽聽us艂ugi udzielania kredytu

3.4. Wymagane warunki do realizacji zam贸wienia:

聽聽聽 a) nie dopuszcza si臋 por臋czenia In Blanco,

聽聽聽 b) nie dopuszcza si臋 ustanowienia hipoteki dla nieruchomo艣ci.

miejsce realizacji zam贸wienia: Inowroc艂aw聽聽聽聽聽聽聽聽 rodzaj zam贸wienia: us艂uga

4. Zamawiaj膮cy nie planuje zebrania z przedstawicielami bank贸w.

5. Zamawiaj膮cy nie dopuszcza sk艂adania ofert cz臋艣ciowych.

6. Zamawiaj膮cy nie dopuszczask艂adania ofert wariantowych.

7. Terminrealizacji zam贸wienia: 10 lat od podpisania umowy.聽聽

8. Adres strony internetowej, na kt贸rej dost臋pna jest specyfikacja istotnych warunk贸w zam贸wienia: http://pgkim-inowroclaw.samorzady.pl

9. Op艂ata za otrzymanie specyfikacji istotnych warunk贸w zam贸wienia b臋dzie pokrywa膰 jedynie koszty jej druku orazprzekazania.

10. Wykonawca zainteresowany post臋powaniem powinien z艂o偶y膰 wniosek u zamawiaj膮cego z podaniem wszystkich danych firmy -niezb臋dnych do przekazywania zmian i zapyta艅 dotycz膮cych powy偶szego post臋powania.

11. Pracownikami uprawnionymi do kontakt贸w z Wykonawcami s膮:

聽聽聽 a) Krystyna Glonek, tel./ faks 052 35 64聽304,

b) Andrzej Lipi艅ski, tel. 052 35 64聽304.聽聽聽聽 聽聽聽聽聽聽聽聽聽聽聽聽聽聽聽聽聽聽聽聽聽聽聽聽聽聽聽聽聽聽聽聽聽聽聽聽聽聽聽聽聽聽聽聽聽聽聽聽聽聽聽聽聽聽聽聽聽聽聽聽聽聽聽聽聽聽聽聽聽聽聽聽聽

12. O udzielenie zam贸wienia mog膮 ubiega膰 si臋 banki, kt贸re:

1) posiadaj膮 uprawnienia do wykonywania okre艣lonej dzia艂alno艣ci lub czynno艣ci, je偶eli ustawy nak艂adaj膮 obowi膮zek posiadania takich uprawnie艅,

2) nie podlegaj膮 wykluczeniu z post臋powania o udzielenie zam贸wienia.

Zamawiaj膮cy oceni spe艂nienie warunk贸w wymienionych w niniejszym rozdziale na podstawie z艂o偶onych przez Wykonawc臋, do oferty, o艣wiadcze艅 i dokument贸w.

Ocena spe艂niania warunk贸w dokonana zostanie na zasadzie:

spe艂nia/ nie spe艂nia

13. W celu potwierdzenia, 偶e Wykonawca posiada uprawnienie do wykonywania okre艣lonej dzia艂alno艣ci lub czynno艣ci oraz nie podlega wykluczeniu na podstawie art. 24 ustawy z dnia 29 stycznia 2004 r. - Prawo zam贸wie艅 publicznych, zamawiaj膮cy 偶膮da, nast臋puj膮cych dokument贸w:

a) aktualnego odpisu z w艂a艣ciwego rejestru albo aktualnego za艣wiadczenia o wpisie do ewidencji dzia艂alno艣ci gospodarczej, je偶eli odr臋bne przepisy wymagaj膮 wpisu do rejestru lub zg艂oszenia do ewidencji dzia艂alno艣ci gospodarczej, wystawionego nie wcze艣niej ni偶 6聽miesi臋cy przed up艂ywem terminu sk艂adania ofert;

b) o艣wiadczenie wykonawcy, 偶e nie posiada zaleg艂o艣ci podatkowej wobec Naczelnika Urz臋du Skarbowego,

c) o艣wiadczenie wykonawcy, 偶e nie posiada zaleg艂o艣ci wobec Zak艂adu Ubezpiecze艅 Spo艂ecznych w op艂acaniu sk艂adek na ubezpieczenie spo艂eczne, zdrowotne oraz Fundusz Pracy.

13.1. Wype艂nione nast臋puj膮ce za艂膮czniki:

a) formularz ofertowy wykonawcy (za艂. nr 1 do swiz).

b) zestawienie koszt贸w udzielonego kredytu (za艂. nr 2 do siwz),聽聽聽聽聽聽聽聽聽聽聽聽聽聽聽聽聽聽聽聽聽聽聽聽聽聽聽聽聽聽聽聽聽聽聽聽

c) o艣wiadczenie w trybie art. 24 ustawy Pzp (za艂. nr 3 do siwz),

d) o艣wiadczenie w trybie art.22 ust.1 pkt.1-4ustawyPzp (za艂. nr 4 do siwz).

13.2. Pe艂nomocnictwo uprawniaj膮ce do podpisywania dokument贸w oferty.

13.3. Przewidywany harmonogram sp艂at kredytu.

13.4. Za艂膮czony projekt umowy termomodernizacyjnej, wg za艂o偶e艅 okre艣lonych w ofercie.

聽聽聽聽聽聽聽 聽聽聽聽聽聽聽聽聽聽聽聽聽聽聽聽聽聽聽聽聽聽聽聽聽聽聽聽聽聽聽聽

14. Miejsce i termin sk艂adania ofert: Przedsi臋biorstwo Gospodarki Komunalnej i MieszkaniowejSp. z o.o., ul. ks. Piotra Wawrzyniaka 33, sekretariat 1 pi臋tro, w terminie do 20 lutego 2007 r. godzina 11.30.

15. Termin i miejsce otwarcia ofert data: 20 lutego 2007 r. godzina 12.00 , PGKiM Sp. z o.o. nr pokoju 12 (salka konferencyjna).

16. Kryteria wyboru oferty:

suma koszt贸w kredytowych (odsetki, prowizje)- 聽聽聽聽聽 100 %

17. Nie jest wymagane wadium.

18. Nie jest wymagane zabezpieczenie nale偶ytego wykonania umowy.

聽聽聽聽聽聽聽聽聽聽聽聽聽聽聽聽聽聽聽聽聽聽聽聽聽聽聽聽聽聽聽聽聽聽聽聽聽聽聽聽聽聽聽聽聽聽聽聽聽聽聽聽聽聽聽聽聽聽聽聽聽聽聽聽聽聽聽聽聽聽聽聽聽聽聽聽聽聽聽聽聽聽聽聽聽聽聽聽聽聽聽聽聽聽聽聽聽聽聽聽聽聽聽聽聽聽聽聽聽聽聽聽聽聽聽聽聽聽聽聽聽聽聽聽聽聽聽聽聽聽聽聽聽聽聽聽聽聽聽聽聽聽聽聽聽聽聽聽聽聽聽聽聽聽聽聽聽聽聽聽聽聽聽聽聽聽聽聽聽聽聽聽聽聽聽聽聽聽聽聽聽聽聽聽聽聽聽聽聽聽聽聽聽聽聽聽聽聽 Podpis:

聽聽聽聽聽聽聽聽聽聽聽聽聽聽聽聽聽聽聽聽聽聽聽聽聽聽聽聽聽聽聽聽聽聽聽聽聽聽聽聽聽聽聽聽聽聽聽聽聽聽聽聽聽聽聽聽聽聽聽聽聽聽聽聽聽聽聽聽聽聽聽聽聽聽聽聽聽聽聽聽聽聽聽聽聽聽聽聽聽聽聽聽聽聽聽聽聽聽聽聽聽聽聽聽聽聽聽聽聽聽聽聽聽聽聽聽聽 聽聽聽聽聽聽聽

聽聽聽聽聽聽聽聽聽聽聽聽聽聽聽聽聽聽聽聽聽聽聽聽聽聽聽聽聽聽聽聽聽聽聽聽聽聽聽聽聽聽聽聽聽聽聽聽聽聽聽聽聽聽聽聽聽聽聽聽聽聽聽聽聽聽聽聽聽聽聽聽聽聽聽聽聽聽聽聽聽聽聽聽聽聽聽聽聽聽聽聽聽聽聽聽聽聽聽聽聽聽聽聽聽聽聽聽聽聽聽 ......................................

TypRozmiarPobierzKomentarzData dodaniaLicznik 
.DOC141.5 KB POBIERZspecyfikacja istotnych warunk贸w zam贸wienia.2007-02-08 12:58:48433
graf.2324.7 KB POBIERZza艂. nr 5 do siwz- s.12007-02-08 12:59:55421
graf.1677.1 KB POBIERZza艂. nr 5 do siwz- s.22007-02-08 13:01:01405
graf.814.4 KB POBIERZza艂. nr 5 do siwz- s.32007-02-08 13:01:59402
graf.1092.2 KB POBIERZza艂. nr 5 do siwz- s.42007-02-08 13:03:12440
.DOC25.5 KB POBIERZOg艂oszenie o wyniku post臋powania.2007-02-22 15:30:59433
graf.481.7 KB POBIERZOg艂oszenie o zawarciu umowy2007-05-25 10:26:06367

Autor : kg
Zredagowa艂(a) : Krystyna Glonek
Data wprowadzenia : 2007-02-08 12:53:36
Data ostatniej modyfikacji : 2007-02-08 12:53:36
Liczba wy艣wietle艅 : 1524



licznik odwiedzin: 5742072