logo
Zam贸wienia publiczne » Marzec 2007
21.03.2007 r. Og艂oszenie o wszcz臋ciu post臋powania.

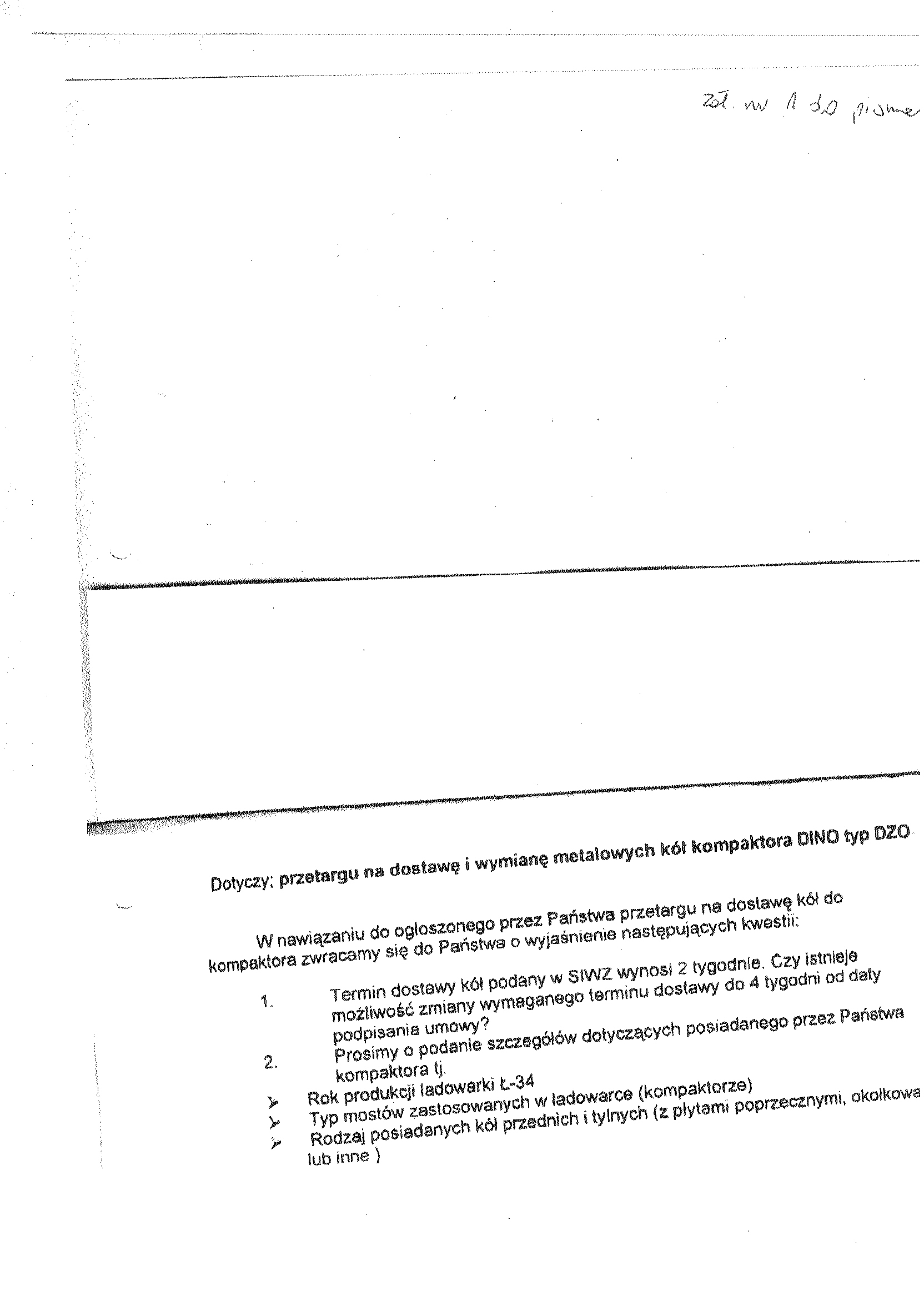
"Dostawa i wymiana metalowych k贸艂 kompaktora DINO typ DZO-4".

Numer sprawy: DMP.40/2007聽聽聽聽聽聽聽聽聽聽聽聽聽聽聽聽聽聽聽聽聽聽聽聽聽聽聽聽聽聽聽聽聽聽Inowroc艂aw, dnia 21 marca 2007 r.聽聽

OG艁OSZENIE O WSZCZ臉CIU POST臉POWANIA

o warto艣ci poni偶ej 60 000 EURO

1.聽聽聽聽聽聽 Zamawiaj膮cy: Przedsi臋biorstwo Gospodarki Komunalnej i Mieszkaniowej Sp. z o.o. w Inowroc艂awiu

Ulica: ks. Piotra Wawrzyniaka 33

Kod: 88-100, Miejscowo艣膰: Inowroc艂aw

Telefon / faks 052 35 64聽304

e-mail: pgkim@poczta.internetdsl.pl

S膮d Rejonowy w Bydgoszczy, XIII Wydzia艂 Gospodarczy Krajowego Rejestru S膮dowego Numer KRS 0000059483

REGON: 091581150 NIP: 556-080-08-85

Kapita艂 zak艂adowy Sp贸艂ki: 2聽118聽500, 00 z艂

Konto: Bank Zachodni WBK S. A.O/ Inowroc艂aw聽聽聽聽聽 88 1090 1069 0000 0000 0701 3956

2.聽聽聽聽聽聽 Przedmiot zam贸wienia: „Dostawa i wymiana metalowych k贸艂 kompaktora DINO typ DZO-4”.

3.聽聽聽聽聽聽 Opis przedmiotu zam贸wienia wg Wsp贸lnego S艂ownika Zam贸wie艅 (CPV):

聽聽聽聽聽 34.32.40.00 - 4聽聽 ko艂a, cz臋艣ci i akcesoria

3.1. Dane techniczne:

聽聽聽聽聽聽 a) kompaktor DINO typu DZO-4,

聽聽聽聽聽聽 b) podwozie 艁-34,

聽聽聽聽聽c) producent PPHU HYDMET Sp. z o.o. G艂og贸w.

3.2. Dostawa obejmuje:

a) demonta偶 dotychczas u偶ywanych metalowych k贸艂,

b) monta偶 nowych (dopuszcza si臋 ko艂a u偶ywane-wymagana gwarancja min. 6 miesi臋cy).

3.3. Wynagrodzenie b臋dzie wyp艂acone na podstawie faktury VAT i podpisanego protoko艂u odbioru wykonania prac. Protok贸艂 podpisany zostanie po wykonaniu min.1 godz. pracy kompaktowa z u偶yciem nowych k贸艂.

3.4. Dostawca dostarczy ko艂a oraz dokona ich wymiany na terenie Zak艂adu Utylizacji Odpad贸w Komunalnych w Inowroc艂awiu mieszcz膮cego si臋 przy ulicy Bagiennej 16.

3.5. Dostawca powiadomi zamawiaj膮cego o terminie dostawy k贸艂 na dwa dnia przed planowanym ich dostarczeniem.

3.6. Dostawca przed przyst膮pieniem do post臋powania zapozna si臋 z warunkami technicznymi jakimi dysponuje zamawiaj膮cy (z uwzgl臋dnieniem specyfiki wymiany k贸艂).

3.7. Dostawca zabezpieczy si臋 w posiadanie niezb臋dnych urz膮dze艅 oraz narz臋dzi niezb臋dnych do wykonania zam贸wienia.

Tryb post臋powania: przetarg nieograniczony

Rodzaj zam贸wienia: dostawa

4. Termin wykonania: w ci膮gu 14 dni od podpisania umowy.

5. Nie dopuszcza si臋 sk艂adania ofert cz臋艣ciowych.

6. Nie dopuszcza si臋 sk艂adania ofert wariantowych.

7. Nie b臋dzie prowadzona aukcja elektroniczna.

8. Osobami uprawnionymi do kontakt贸w z dostawcami s膮:

聽聽聽聽 a) Krystyna Glonek, tel./faks052 35 64聽304,

聽聽聽聽 b) Lidia Owedyk, tel. 052聽352 76 13,

聽聽聽聽 c) Robert 呕uchowski, tel. 052聽352 76 13.

9. Adres strony internetowej, na kt贸rej dost臋pna jest specyfikacja istotnych warunk贸w zam贸wienia: http://pgkim-inowroclaw.samorzady.pl

10. Op艂ata za otrzymanie specyfikacji istotnych warunk贸w zam贸wienia b臋dzie pokrywa膰 jedynie koszty jej druku orazprzekazania.

11.Dostawca zainteresowany post臋powaniem powinien z艂o偶y膰 wniosek u zamawiaj膮cego z podaniem wszystkich danych firmy -niezb臋dnych do przekazywania zmian i zapyta艅 dotycz膮cych powy偶szego post臋powania.

12. O udzielenie zam贸wienia mog膮 ubiega膰 si臋 wy艂膮cznie Dostawcy, kt贸rzy:

a) posiadaj膮 uprawnienia do wykonywania okre艣lonej dzia艂alno艣ci lub czynno艣ci, je偶eli ustawy nak艂adaj膮 obowi膮zek posiadania takich uprawnie艅,

b) posiadaj膮 niezb臋dn膮 wiedz臋 i do艣wiadczenie oraz potencja艂 techniczny, a tak偶e dysponuj膮 osobami zdolnymi do wykonania zam贸wienia,

c) nie podlegaj膮 wykluczeniu z post臋powania o udzielenie zam贸wienia.

Zamawiaj膮cy oceni spe艂nienie warunk贸w wymienionych w niniejszym rozdziale na podstawie z艂o偶onych przez Dostawc臋 do oferty, o艣wiadcze艅 i dokument贸w.

Ocena spe艂niania warunk贸w dokonana zostanie na zasadzie:

聽聽聽聽聽聽聽聽聽聽聽聽聽聽聽聽聽聽聽聽聽聽聽聽聽聽聽聽聽聽聽聽聽聽聽聽聽聽聽聽聽聽聽聽聽聽 spe艂nia/ nie spe艂nia

13. W celu potwierdzenia, 偶e Dostawca posiada uprawnienie do wykonywania okre艣lonej dzia艂alno艣ci lub czynno艣ci oraz nie podlega wykluczeniu na podstawie art. 24 ustawy z dnia 29 stycznia 2004 r. – Prawo zam贸wie艅 publicznych, zamawiaj膮cy 偶膮da nast臋puj膮cych dokument贸w:

a) aktualnego odpisu z w艂a艣ciwego rejestru albo aktualnego za艣wiadczenia o wpisie do ewidencji dzia艂alno艣ci gospodarczej, je偶eli odr臋bne przepisy wymagaj膮 wpisu do rejestru lub zg艂oszenia do ewidencji dzia艂alno艣ci gospodarczej, wystawionego nie wcze艣niej ni偶 6 miesi臋cy przed up艂ywem terminu sk艂adania ofert,

b) o艣wiadczenia dostawcy, 偶e nie posiada zaleg艂o艣ci podatkowej wobec Naczelnika Urz臋du Skarbowego,

c) o艣wiadczenia dostawcy, 偶e nie posiada zaleg艂o艣ci wobec Zak艂adu Ubezpiecze艅 Spo艂ecznych w op艂acaniu sk艂adek na ubezpieczenie spo艂eczne, zdrowotne oraz Fundusz Pracy.

13.1.W celu potwierdzenia posiadania przez Dostawc臋 niezb臋dnej wiedzy i do艣wiadczenia oraz os贸b zdolnych do wykonania zam贸wienia, zamawiaj膮cy 偶膮da nast臋puj膮cych dokument贸w:

a) wykazu podobnych wykonanych dostaw w okresie ostatniego 1 roku, zpodaniem ich warto艣ci, przedmiotu, dat wykonania i zleceniodawcy, za艂. nr 2 do siwz. Do za艂膮cznika nale偶y do艂膮czy膰 dokumenty potwierdzaj膮ce, 偶e dostawy zosta艂y wykonane nale偶ycie (minimum 1 referencja).

13.2.Wype艂nione nast臋puj膮ce za艂膮czniki:

a) formularz ofertowy dostawcy (za艂. nr 1 do swiz).

b) wykaz podobnych dostaw (za艂. nr 2 do swiz),

c) o艣wiadczenie w trybie art. 24 ustawy Pzp (za艂. nr 3 do siwz),

d) o艣wiadczenie w trybie art.22 ust.1 pkt.1-4ustawyPzp (za艂. nr 4 do siwz).

14. Miejsce i termin sk艂adania ofert: sekretariat Przedsi臋biorstwa Gospodarki Komunalnej i Mieszkaniowej Sp. z o.o., ul. ks. Piotra Wawrzyniaka 33, 88-100 Inowroc艂aw, do dnia 6 kwietnia 2007 r. do godz. 9.30.

15. Kryteria wyboru oferty(w % ): cena- 100 %

16. Zamawiaj膮cy nie wymaga wadium.

17.Miejsce i termin otwarcia ofert: Przedsi臋biorstwo Gospodarki Komunalnej i Mieszkaniowej Sp. z o.o., ul. ks. Piotra Wawrzyniaka 33, 88-100 Inowroc艂aw dnia 6 kwietnia 2007 r.o godz. 10.00 (salka konferencyjna).

18.Termin zwi膮zaniaofert膮: 30 dni .

19. Zamawiaj膮cy nie wymaga wniesienia zabezpieczenia nale偶ytego wykonania umowy.聽聽聽聽聽聽聽聽聽聽聽聽聽聽聽聽聽聽聽聽聽聽聽聽聽聽聽聽聽聽聽聽聽聽聽聽聽聽聽聽聽聽聽聽聽聽 聽聽聽聽聽聽聽聽聽聽聽聽聽聽聽聽聽聽聽聽聽聽聽聽聽聽聽聽聽聽聽聽聽聽 聽聽聽聽聽聽聽聽聽聽聽聽聽聽聽聽聽聽聽聽聽聽聽聽聽聽聽聽聽聽聽聽聽聽聽聽聽聽聽聽聽聽聽聽聽 聽聽聽聽聽聽聽聽聽聽聽聽聽聽聽聽聽聽聽聽聽聽聽聽聽聽聽聽聽聽聽聽聽聽聽聽聽聽聽聽聽聽聽聽聽聽聽聽聽聽聽聽

聽聽聽聽聽聽聽聽聽聽聽聽聽聽聽聽聽聽聽聽聽聽聽聽聽聽聽聽聽聽聽聽聽聽聽聽聽聽聽聽聽聽聽聽聽聽聽聽聽聽聽聽聽聽聽聽聽聽聽聽聽聽聽聽聽聽聽聽聽聽聽聽聽聽聽聽聽聽聽聽聽聽聽聽聽聽聽聽聽聽聽聽聽聽聽聽聽聽聽聽聽聽聽聽聽聽聽聽聽聽聽聽聽聽聽聽聽聽聽聽聽聽聽聽聽聽聽聽聽聽聽聽聽聽聽 聽聽聽聽聽聽聽聽聽聽聽聽聽聽聽聽聽聽聽聽聽聽聽聽聽聽聽聽聽聽聽聽聽聽聽聽聽聽聽聽聽聽聽聽聽聽聽聽聽聽聽聽聽聽聽聽聽聽聽聽聽聽聽聽聽聽聽聽聽聽聽聽聽聽聽聽聽聽聽聽聽聽聽聽聽聽聽聽聽聽聽聽聽聽聽聽聽聽聽聽聽聽聽聽聽 聽Podpis:

聽聽聽聽聽聽聽聽聽聽聽聽聽聽聽聽聽聽聽聽聽聽聽聽聽聽聽聽聽聽聽聽聽聽聽聽聽聽聽聽聽聽聽聽聽聽聽聽聽聽聽聽聽聽聽聽聽聽聽聽聽聽聽聽聽聽聽聽聽聽聽聽聽聽聽聽聽聽聽聽聽聽聽聽聽聽聽聽聽聽聽聽聽聽聽聽聽聽聽聽聽聽聽聽聽 ......................................

TypRozmiarPobierzKomentarzData dodaniaLicznik 
.DOC208 KB POBIERZspecyfikacja istotnych warunk贸w zam贸wienia.2007-03-21 13:16:11489
.DOC26.5 KB POBIERZWyja艣nienie siwz2007-03-23 16:01:16467
graf.475.7 KB POBIERZtre艣膰 pyta艅2007-03-23 16:01:33380
graf.332.8 KB POBIERZtre艣膰 pyta艅 22007-03-30 10:45:05436
.DOC26.5 KB POBIERZWyja艣nienie siwz2007-03-30 10:50:01449
.DOC29.5 KB POBIERZOg艂oszenie o wyniku post臋powania.2007-04-10 14:08:28468
graf.502 KB POBIERZOg艂oszenie o zawarciu umowy2007-05-07 11:58:21436

Autor : kg
Zredagowa艂(a) : Krystyna Glonek
Data wprowadzenia : 2007-03-21 13:15:31
Data ostatniej modyfikacji : 2007-03-21 13:15:31
Liczba wy艣wietle艅 : 1886



licznik odwiedzin: 5741201