logo
Zam贸wienia publiczne » Kwiecie艅 2009
09/04/2009 Og艂oszenie o wszcz臋ciu post臋powania.

"Udzielenie kredytu inwestycyjnego o warto艣ci 151.000,00 z艂 dla Wsp贸lnoty Mieszkaniowej przy ulicy Kie艂basiewicza 11 C w Inowroc艂awiu".

Znak sprawy: DMP. 16/2009聽聽聽聽聽聽聽聽聽聽聽聽聽聽聽聽聽聽聽聽聽聽聽聽聽聽聽聽聽聽聽聽聽聽聽聽聽聽Inowroc艂aw, dnia 9 kwietnia 2009 r.聽聽聽

Og艂oszenie o wszcz臋ciu post臋powania

Numer og艂oszenia w BZP: 60893 - 2009; data zamieszczenia 09/04/2009

Na stronie internetowej: 09/04/2009

1. Nazwa i adres Zamawiaj膮cego

Nazwa: Wsp贸lnota Mieszkaniowa przy ulicy Kie艂basiewicza 11 C w Inowroc艂awiu w imieniu i na rzecz, kt贸rej dzia艂a na mocy umowy powierzenia, Przedsi臋biorstwo Gospodarki Komunalnej i Mieszkaniowej Sp. z o.o. w Inowroc艂awiu

Adres pocztowy:

Ulica: ks. Piotra Wawrzyniaka 33

Miejscowo艣膰:聽聽聽聽聽聽聽聽聽聽聽聽Kod pocztowy:聽聽聽聽聽聽聽聽聽聽聽聽聽聽聽 Wojew贸dztwo:

Inowroc艂aw聽聽聽聽聽聽聽聽聽聽聽聽聽聽聽88 - 100聽聽聽聽聽聽聽聽聽聽聽聽聽聽聽聽聽聽 聽聽聽聽聽聽聽聽kujawsko - pomorskie

S膮d Rejonowy w Bydgoszczy, XIII Wydzia艂 Gospodarczy Krajowego Rejestru S膮dowego Numer KRS 0000059483

REGON: 091581150 NIP: 556-080-08-85

Kapita艂 zak艂adowy Sp贸艂ki: 2聽518聽500, 00 z艂

Konto: Bank Zachodni WBK S. A.O/ Inowroc艂aw聽聽 聽聽聽88 1090 1069 0000 0000 0701 3956

2. Tryb post臋powania: przetarg nieograniczony

Rodzaj zam贸wienia: us艂uga

3. Wsp贸lny S艂ownik Zam贸wie艅 CPV: 66.11.30.00 - 5 us艂ugi udzielania kredytu

4. Adres strony internetowej, na kt贸rej dost臋pna jest specyfikacja istotnych warunk贸w zam贸wienia: http://pgkim-inowroclaw.samorzady.pl

Op艂ata za otrzymanie specyfikacji istotnych warunk贸w zam贸wienia b臋dzie pokrywa膰 jedynie koszty jej druku oraz przekazania.

Wykonawca zainteresowany post臋powaniem powinien z艂o偶y膰 wniosek u zamawiaj膮cego z podaniem wszystkich danych firmy- niezb臋dnych do przekazywania zmian i zapyta艅 dotycz膮cych powy偶szego post臋powania.

5. Okre艣lenie przedmiotu zam贸wienia

Nazwa nadana zam贸wieniu: "Udzielenie kredytu inwestycyjnego o warto艣ci 151.000,00 z艂 dla Wsp贸lnoty Mieszkaniowej przy ulicy Kie艂basiewicza 11 C w Inowroc艂awiu

TypRozmiarPobierzKomentarzData dodaniaLicznik 
.DOC137.5 KB POBIERZSpecyfikacja istotnych warunk贸w zam贸wienia.2009-04-09 13:14:08409
.DOC42.5 KB POBIERZOg艂oszenie2009-04-09 13:17:38377
graf.719.6 KB POBIERZZmiana terminu sk艂adania ofert.2009-04-15 12:06:18373
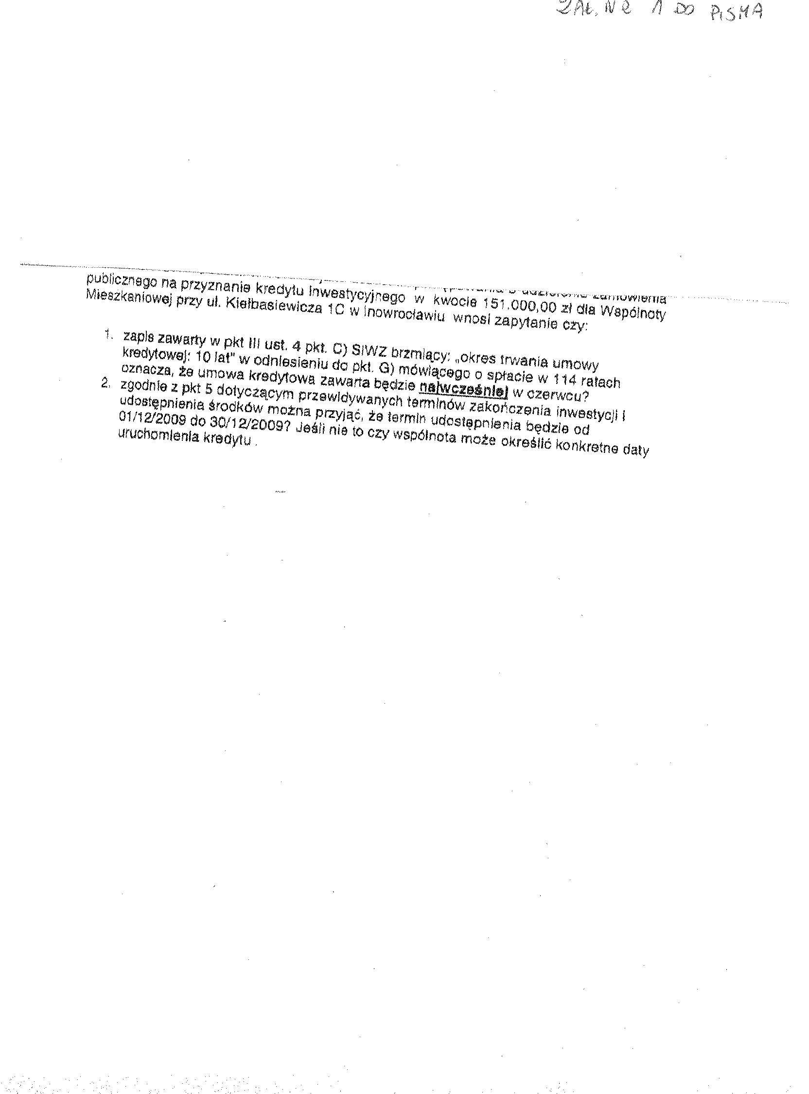
graf.363.3 KB POBIERZZapytanie2009-04-15 12:06:55342
graf.870.8 KB POBIERZOdpowiedzi na zapytania.2009-04-21 14:14:05318
graf.235.4 KB POBIERZTre艣膰 pyta艅2009-04-21 14:14:32352
graf.872.9 KB POBIERZodpowiedzi do pyta艅2009-04-23 11:29:28349
graf.339.9 KB POBIERZTre艣膰 pyta艅2009-04-23 11:29:50341
graf.746.9 KB POBIERZZawiadomienie o wyborze najkorzystniejszej oferty.2009-05-04 14:18:39362
graf.497 KB POBIERZZbiorcze zestawienie ofert.2009-05-04 14:19:21351
graf.932.7 KB POBIERZOg艂oszenie o udzieleniu zam贸wienia BZP nr 80893-20092009-05-27 13:34:31295

Autor : kg
Zredagowa艂(a) : Krystyna Glonek
Data wprowadzenia : 2009-04-09 13:10:33
Data ostatniej modyfikacji : 2009-04-09 13:10:33
Liczba wy艣wietle艅 : 1299



licznik odwiedzin: 5741162