logo
Zam贸wienia publiczne » Czerwiec 2009
24/06/2009 Og艂oszenie o wszcz臋ciu post臋powania.

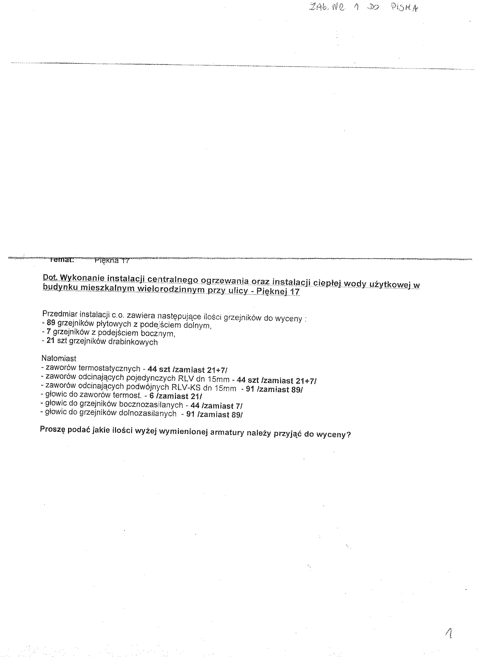
"Wykonanie instalacji centralnego ogrzewania oraz instalacji ciep艂ej wody u偶ytkowej w budynku mieszkalnym wielorodzinnym przy ulicy Pi臋knej 17 w Inowroc艂awiu.

Numer sprawy: DMP. 21/2009聽聽聽聽聽聽聽聽聽聽聽聽聽聽聽聽聽聽聽聽聽聽聽聽聽聽聽聽聽聽聽聽Inowroc艂aw, dnia 24 czerwca 2009 r.聽聽

OG艁OSZENIE O WSZCZ臉CIU POST臉POWANIA

Numer og艂oszenia w BZP: 205236 - 2009;

data zamieszczenia 24/06/2009 r.

Zamieszczenie obowi膮zkowe

Zam贸wienia publiczne

1. Zamawiaj膮cy: Wsp贸lnota Mieszkaniowa przy ulicy Pi臋knej 17 w Inowroc艂awiu, w imieniu i na rzecz, kt贸rej dzia艂a na mocy umowy powierzenia, Przedsi臋biorstwo Gospodarki Komunalnej i Mieszkaniowej Sp. z o.o. w Inowroc艂awiu

Adres pocztowy:

Ulica: ks. Piotra Wawrzyniaka 33

Kod: 88-100, Miejscowo艣膰: Inowroc艂aw

Telefon / faks 052 35 64聽304

Adres strony internetowej: www.pgkimino.pl

e-mail: pgkim@poczta.internetdsl.pl

Adres strony internetowej, na kt贸rej dost臋pna jest specyfikacja istotnych warunk贸w zam贸wienia: http://pgkim-inowroclaw.samorzady.pl

Rodzaj zamawiaj膮cego: Sp贸艂ka z o. o. - w艂asno艣膰 samorz膮dowa, zarz膮dzanie nieruchomo艣ciami

1.1. Osobami uprawnionymi do kontakt贸w z Wykonawcami s膮:

a) w cz臋艣ci formalnej zam贸wienia - Krystyna Glonek, tel./ faks 052 35 64 304,

b) w cz臋艣ci merytorycznej zam贸wienia - Waldemar Stachowiak, tel. 052聽35 64 306

1.2. Op艂ata za otrzymanie specyfikacji istotnych warunk贸w zam贸wienia b臋dzie pokrywa膰 jedynie koszty jej druku oraz przekazania.

1.3. Wykonawca zainteresowany post臋powaniem powinien z艂o偶y膰 wniosek u zamawiaj膮cego z podaniem wszystkich danych firmy - niezb臋dnych do przekazywania zmian i zapyta艅 dotycz膮cych powy偶szego post臋powania.

2. Nazwa nadana zam贸wieniu: "Wykonanie instalacji centralnego ogrzewania oraz instalacji ciep艂ej wody u偶ytkowej w budynku mieszkalnym wielorodzinnym przy ulicy Pi臋knej 17 w Inowroc艂awiu".

Rodzaj zam贸wienia: robota budowlana

2.1. W zakres rob贸t wchodz膮: ruroci膮gi miedziane i stalowe, dwuz艂膮czki, izolacja ruroci膮g贸w, grzejniki, zawory, g艂owice, odpowietrzniki, monta偶 szafek, wymiana rur, pod艂膮czenie instalacji c.o., pr贸by szczelno艣ci, p艂ukanie instalacji, czyszczenie przez szczotkowanie, odt艂uszczanie, malowanie farbami, wzmocnienie izolacji, przebicie otwor贸w z zamurowaniem, uzupe艂nienie posadzki, ocyklinowanie posadzki, lakierowanie posadzki, odbicie tynk贸w, uzupe艂nienie 艣cian, wykucie o艣cie偶nic, wstawienie drzwi i okien, wykonanie studni, przeczyszczenie wpustu, zamontowanie wodomierzy, wykonanie przewod贸w wentylacyjnych, wstawienie kratek wentylacyjnych, rozbi贸rka piec贸w, demonta偶 urz膮dze艅 sanitarnych, ruroci膮gu, grzejnik贸w, zawor贸w, kot艂a, wykonanie instalacji ciep艂ej wody, wywiezienie gruzu.

2.2.Wsp贸lny S艂ownik Zam贸wie艅 (CPV): 45.30.00.00 - 0 roboty instalacyjne w budynkach 45.33.11.00 - 7instalowanie centralnego ogrzewania, 45.33.20.00 - 3 roboty wodne i kanalizacyjne

Nie dopuszcza si臋 sk艂adania ofert cz臋艣ciowych.

Nie dopuszcza si臋 sk艂adania ofert wariantowych.

Zamawiaj膮cy nie przewiduje zawarcia umowy ramowej, jak r贸wnie偶 nie dokona wyboru oferty najkorzystniejszej z zastosowaniem aukcji elektronicznej.

Zamawiaj膮cy nie przewiduje mo偶liwo艣ci ustanowienia dynamicznego systemu zakup贸w.

2.3. Termin (okres) realizacji zam贸wienia: 3 miesi膮ce od podpisania umowy.

3. O udzielenie zam贸wienia mog膮 ubiega膰 si臋 wy艂膮cznie Wykonawcy, kt贸rzy:

a) posiadaj膮 uprawnienia do wykonywania okre艣lonej dzia艂alno艣ci lub czynno艣ci, je偶eli ustawy nak艂adaj膮 obowi膮zek posiadania takich uprawnie艅,

b) posiadaj膮 niezb臋dn膮 wiedz臋 i do艣wiadczenie oraz dysponuj膮 potencja艂em techniczny i osobami zdolnymi do wykonania zam贸wienia lub przedstawi膮 pisemne zobowi膮zanie innych podmiot贸w do udost臋pnienia potencja艂u technicznego i os贸b zdolnych do wykonania zam贸wienia,

c) znajduj膮 si臋 w sytuacji ekonomicznej i finansowej zapewniaj膮cej wykonanie zam贸wienia,

d) nie podlegaj膮 wykluczeniu z post臋powania o udzielenie zam贸wienia.

Zamawiaj膮cy oceni spe艂nienie warunk贸w wymienionych w niniejszym rozdziale na podstawie z艂o偶onych przez Wykonawc臋 do oferty, o艣wiadcze艅 i dokument贸w.

Ocena spe艂niania warunk贸w dokonana zostanie na zasadzie:

聽聽聽聽聽聽聽聽聽聽聽聽聽聽聽聽聽聽聽聽聽聽聽聽聽聽聽聽聽聽聽聽聽聽聽聽聽聽聽聽聽聽聽聽聽 spe艂nia/ nie spe艂nia

4. W celu potwierdzenia, 偶e Wykonawca posiada uprawnienie do wykonywania okre艣lonej dzia艂alno艣ci lub czynno艣ci oraz nie podlega wykluczeniu na podstawie art. 24 ustawy z dnia 29 stycznia 2004 r. - Prawo zam贸wie艅 publicznych, zamawiaj膮cy 偶膮da, nast臋puj膮cych dokument贸w:

a) aktualnego odpisu z w艂a艣ciwego rejestru albo aktualnego za艣wiadczenia o wpisie do ewidencji dzia艂alno艣ci gospodarczej, je偶eli odr臋bne przepisy wymagaj膮 wpisu do rejestru lub zg艂oszenia do ewidencji dzia艂alno艣ci gospodarczej, wystawionego nie wcze艣niej ni偶 6 miesi臋cy przed up艂ywem terminu sk艂adania ofert;

b) o艣wiadczenia wykonawcy, 偶e nie posiada zaleg艂o艣ci podatkowej wobec Naczelnika Urz臋du Skarbowego,

c) o艣wiadczenia wykonawcy, 偶e nie posiada zaleg艂o艣ci wobec Zak艂adu Ubezpiecze艅 Spo艂ecznych w op艂acaniu sk艂adek na ubezpieczenie spo艂eczne, zdrowotne oraz Fundusz Pracy.

4.1. W celu potwierdzenia posiadania przez wykonawc臋 niezb臋dnej wiedzy i do艣wiadczenia oraz dysponowania potencja艂em technicznym i osobami zdolnymi do wykonania zam贸wienia, zamawiaj膮cy 偶膮da膰 nast臋puj膮cych dokument贸w:

a) wykazu wykonanych rob贸t budowlanych w okresie ostatnich pi臋ciu lat

przed dniem wszcz臋cia post臋powania o udzielenie zam贸wienia, a je偶eli okres

prowadzenia dzia艂alno艣ci jest kr贸tszy - w tym okresie, odpowiadaj膮cych

swoim rodzajem i warto艣ci膮 robotom budowlanym stanowi膮cym przedmiot

zam贸wienia, z podaniem ich warto艣ci oraz daty i miejsca wykonania

oraz za艂膮czeniem dokument贸w potwierdzaj膮cych, 偶e roboty te zosta艂y

wykonane nale偶ycie, za艂. nr 2 do siwz. Z wykazu musi wynika膰, 偶e

wykonawca wykona艂 minimum 2 roboty w zakresie instalacji centralnego

ogrzewania oraz ciep艂ej wody u偶ytkowej za 艂膮czn膮 warto艣膰

100.000,00 z艂otych netto. Do wykazu nale偶y za艂膮czy膰 minimum 2 referencje,

b) zamawiaj膮cy 偶膮da za艂膮czenia kserokopii uprawnie艅 budowlanych w specjalno艣ci instalacji sanitarnych bez ogranicze艅,

c) aktualnego wpisu do w艂a艣ciwych Izb Zawodowych.

4.2. W celu potwierdzenia, 偶e wykonawca znajduje si臋 w sytuacji ekonomicznej i finansowej zapewniaj膮cej wykonanie zam贸wienia zamawiaj膮cy 偶膮da nast臋puj膮cych dokument贸w:

a) polisy, a w przypadku jej braku innego dokumentu potwierdzaj膮cego, 偶e wykonawca jest ubezpieczony od odpowiedzialno艣ci cywilnej w zakresie prowadzonej dzia艂alno艣ci.

4.3.Wype艂nione nast臋puj膮ce za艂膮czniki:

a) formularz ofertowy wykonawcy (za艂. nr 1 do swiz).

b) wykaz podobnych rob贸t (za艂. nr 2 do siwz),

c) o艣wiadczenie w trybie art.22 ust.1 pkt.1-4 ustawy Pzp (za艂. nr 3 do siwz).

4.4.Kosztorys ofertowy, kt贸ry musi by膰 integraln膮 cz臋艣ci膮 z艂o偶onej oferty. Podstaw膮 do opracowania przez Wykonawc臋 kosztorysu ofertowego jest przedmiar rob贸t, b臋d膮cy za艂膮cznikiem do siwz. Wykonawca mo偶e przyj膮膰 dowoln膮 form臋 i podstaw臋 wyceny rob贸t.

5. Miejsce i termin sk艂adania ofert: oferty nale偶y z艂o偶y膰 w sekretariacie Przedsi臋biorstwa Gospodarki Komunalnej i Mieszkaniowej Sp. z o.o., ul. ks. Piotra Wawrzyniaka 33, 88-100 Inowroc艂aw, do dnia 16 lipca 2009 r. do godziny 09:50

6. Kryteria wyboru ofert (w %):

聽聽聽 a) cena wykonania zam贸wienia 80 %

聽聽聽聽 b) gwarancja 20 %

7. Zamawiaj膮cy nie wymaga wadium.

8.Miejsce i termin otwarcia ofert: Przedsi臋biorstwo Gospodarki Komunalnej i Mieszkaniowej Sp. z o.o., ul. ks. Piotra Wawrzyniaka 33, 88-100 Inowroc艂aw, dnia 16 lipca 2009 r. o godzinie 10:00

9.Termin zwi膮zania ofert膮: 30 dni .

10. Zabezpieczenie nale偶ytego wykonania umowy (znwu) w wysoko艣ci 2 % od ustalonej warto艣ci zam贸wienia.

11. Zamawiaj膮cy nie przewiduje mo偶liwo艣ci udzielenia zam贸wie艅 uzupe艂niaj膮cych, o kt贸rych mowa w art. 67 ust.1 pkt 6, ustawy Prawo zam贸wie艅 publicznych.

Podpis:

聽聽 聽聽聽聽

TypRozmiarPobierzKomentarzData dodaniaLicznik 
.DOC223 KB POBIERZSpecyfikacja istotnych warunk贸w zam贸wienia.2009-06-24 11:10:15533
.PDF128.1 KB POBIERZZa艂. nr 5 do siwz - STWiOR2009-06-24 11:11:03500
.PDF101.5 KB POBIERZZa艂. nr 6 do siwz - przedmiar c.o.2009-06-24 11:12:11466
.PDF46.3 KB POBIERZza艂. nr 6 do siwz- przedmiar c.w.u.2009-06-24 11:12:34488
.PDF43.8 KB POBIERZza艂. nr 7 do siwz - projekt c.o. - opis2009-06-24 11:14:19587
.PDF99.6 KB POBIERZparter2009-06-24 11:14:40421
.PDF61.6 KB POBIERZpoddasze2009-06-24 11:14:51422
.PDF104.6 KB POBIERZI pi臋tro2009-06-24 11:15:04441
.PDF97.9 KB POBIERZII pi臋tro2009-06-24 11:15:15429
.PDF42.2 KB POBIERZpiwnica2009-06-24 11:15:43425
.PDF60.7 KB POBIERZza艂. nr 7 do siwz- projekt cwu parter2009-06-24 11:16:34419
.PDF80.1 KB POBIERZrozwini臋cie2009-06-24 11:17:10439
.PDF72.3 KB POBIERZI pi臋tro2009-06-24 11:17:20434
.PDF72.3 KB POBIERZII pi臋tro2009-06-24 11:17:34437
.PDF42.8 KB POBIERZopis2009-06-24 11:17:44569
.PDF54.8 KB POBIERZpiwnica2009-06-24 11:17:53410
.PDF55.5 KB POBIERZpoddasze2009-06-24 11:18:04442
graf.703.3 KB POBIERZOdpowied藕 do pytania2009-06-29 11:51:18462
graf.289 KB POBIERZTre艣膰 pyta艅2009-06-29 11:51:42480
graf.730.8 KB POBIERZOdpowiedzi na pytania II2009-07-06 10:58:32409
graf.452.1 KB POBIERZTre艣膰 pyta艅2009-07-06 10:58:59417
graf.752.1 KB POBIERZZmiana terminu sk艂adania ofert2009-07-14 12:26:08425
graf.736.9 KB POBIERZOdpowiedzi do pyta艅 z dnia 10.07.2009 r.2009-07-15 12:15:48392
graf.388.6 KB POBIERZTre艣膰 pyta艅2009-07-15 12:20:40404
graf.798.8 KB POBIERZZawiadomienie o wyborze najkorzystniejszej oferty.2009-07-30 14:38:29434
graf.842.6 KB POBIERZZbiorcze zestawienie ofert- s.12009-07-30 14:39:06468
graf.588.5 KB POBIERZs.22009-07-30 14:39:27386
graf.433.3 KB POBIERZWykonawcy wykluczeni2009-07-30 14:40:16413
graf.577.9 KB POBIERZOferty odrzucone2009-07-30 14:40:44422
graf.537.6 KB POBIERZStreszczenie oceny i por贸wnanie z艂o偶onych ofert.2009-07-30 14:41:34424
graf.2171.3 KB POBIERZProtest2009-08-06 09:54:11389
graf.665.3 KB POBIERZOddalenie protestu- s.12009-08-07 13:12:34412
graf.1177.8 KB POBIERZs.22009-08-07 13:13:03380
graf.790.4 KB POBIERZs.32009-08-07 13:13:30378
graf.495.5 KB POBIERZO艣wiadczenie firmy "Isanit"2009-08-07 13:14:42366
graf.1007.5 KB POBIERZOg艂oszenie o udzieleniu zam贸wienia BZP nr 136613-20092009-08-19 14:33:09411
graf.641.7 KB POBIERZs.22009-08-19 14:33:33407

Autor : kg
Zredagowa艂(a) : Krystyna Glonek
Data wprowadzenia : 2009-06-24 11:08:56
Data ostatniej modyfikacji : 2009-06-24 11:08:56
Liczba wy艣wietle艅 : 1741



licznik odwiedzin: 5741779