logo
Zam贸wienia publiczne » Lipiec 2009
22/07/2009 Og艂oszenie o wszcz臋ciu post臋powania.

"Docieplenie 艣cian zewn臋trznych od strony podw贸rza i 艣ciany szczytowej wraz z kolorystyk膮 elewacji budynku mieszkalnego przy ulicy 艢w. Ducha 26 w Inowroc艂awiu".

Numer sprawy: DMP. 26/2009聽聽聽聽聽聽聽聽聽聽聽聽聽聽聽聽聽聽聽聽聽聽聽聽聽聽聽聽聽聽聽聽聽聽聽聽聽聽聽聽聽Inowroc艂aw, dnia 22 lipca 2009 r.聽聽

OG艁OSZENIEOWSZCZ臉CIUPOST臉POWANIA

Numer og艂oszenia w BZP: 117159 - 2009;

data zamieszczenia 22/07//2009 r.

1. Nazwa i adres Zamawiaj膮cego

Nazwa: Wsp贸lnota Mieszkaniowa przy ulicy 艢w. Ducha 26 w Inowroc艂awiu w imieniu i na rzecz, kt贸rej dzia艂a na mocy umowy powierzenia, Przedsi臋biorstwo Gospodarki Komunalnej i Mieszkaniowej Sp. z o.o. w Inowroc艂awiu

Adres pocztowy:

Ulica:

ks. Piotra Wawrzyniaka 33

Miejscowo艣膰:聽聽聽聽聽聽聽聽聽聽聽聽聽聽Kod pocztowy:聽聽聽聽聽聽聽聽聽聽聽聽聽聽聽 Wojew贸dztwo:

Inowroc艂aw聽聽聽聽聽聽聽聽聽聽聽聽聽聽聽聽88 - 100聽聽聽聽聽聽聽聽聽聽聽聽聽聽聽聽聽聽聽聽聽聽聽聽聽聽 kujawsko - pomorskie

S膮d Rejonowy w Bydgoszczy, XIII Wydzia艂 Gospodarczy Krajowego Rejestru S膮dowego Numer KRS 0000059483

REGON: 091581150 NIP: 556-080-08-85

Kapita艂 Zak艂adowy Sp贸艂ki: 2聽518聽500, 00 z艂

Konto: Bank Zachodni WBK S. A.O/ Inowroc艂aw聽聽聽聽聽 88 1090 1069 0000 0000 0701 3956

2. Tryb post臋powania: przetarg nieograniczony

Rodzaj zam贸wienia: robota budowlana

Wsp贸lny S艂ownik Zam贸wie艅 CPV: 45.45.30.00 - 7, 45.40.00.00- 1, 45.31.00.00 - 3.

3. Adres strony internetowej, na kt贸rej dost臋pna jest specyfikacja istotnych warunk贸w zam贸wienia: http://pgkim-inowroclaw.samorzady.pl

Op艂ata za otrzymanie specyfikacji istotnych warunk贸w zam贸wienia b臋dzie pokrywa膰 jedynie koszty jej druku oraz przekazania.

Wykonawca zainteresowany post臋powaniem powinien z艂o偶y膰 wniosek u zamawiaj膮cego z podaniem wszystkich danych firmy- niezb臋dnych do przekazywania zmian i zapyta艅 dotycz膮cych powy偶szego post臋powania.

4. Okre艣lenie przedmiotu zam贸wienia

Nazwa nadana zam贸wieniu: "Docieplenie 艣cian zewn臋trznych od strony podw贸rza i 艣ciany szczytowej wraz z kolorystyk膮 elewacji budynku mieszkalnego przy ulicy 艢w. Ducha 26 w Inowroc艂awiu".

Zam贸wienie obejmuje: odbicie tynk贸w, przemurowanie p臋kni臋膰, uzupe艂nienie 艣cian, rozebranie obr贸bek blacharskich, rynien, rur spustowych, pokrycie daszk贸w nad wej艣ciami, ocieplenie budynku, Ochrona naro偶nik贸w, malowanie farbami, wykonanie opaski betonowej, demonta偶 prz臋se艂 ogrodzenia, wymiana ogrodzenia, osadzenie prz臋se艂 z siatki, wykopy pod fundament, wykonanie 艂aw fundamentowych, uzupe艂nienie 艂aw, mechaniczne wykucie bruzd, przygotowanie pod艂o偶a pod mocowanie osprz臋tu, monta偶 puszek, wykonanie tynku, przebijanie otwor贸w, monta偶 艂膮cznik贸w instalacyjnych, aparat贸w, sprawdzenie i pomiar obwodu elektrycznego.

5. Nie dopuszcza si臋 sk艂adania ofert cz臋艣ciowych.

6. Nie dopuszcza si臋 sk艂adania ofert wariantowych.

7. Zamawiaj膮cy nie przewiduje zawarcia umowy ramowej, jak r贸wnie偶 nie dokona wyboru oferty najkorzystniejszej z zastosowaniem aukcji elektronicznej.

8. Zamawiajacy nie przewiduje mo偶liwo艣ci ustanowienia dynamicznego systemu zakup贸w.

9. Osobami uprawnionymi do kontakt贸w z wykonawcami s膮:

a) w cz臋艣ci formalnej zam贸wienia - Krystyna Glonek, tel. 052 35 64 304,

b) w cz臋艣ci merytorycznej zam贸wienia -Anna Nawrocka, tel. 052 35 64聽325,

c) w cz臋艣ci merytorycznej zam贸wienia - Mariusz Minta, tel. 052 35 64聽325.

10. Termin realizacji zam贸wienia: 3 miesi膮ce od podpisania umowy.

11. O udzielenie zam贸wienia mog膮 ubiega膰 si臋 wy艂膮cznie Wykonawcy, kt贸rzy:

a) posiadaj膮 uprawnienia do wykonywania okre艣lonej dzia艂alno艣ci lub czynno艣ci, je偶eli ustawy nak艂adaj膮 obowi膮zek posiadania takich uprawnie艅,

b) posiadaj膮 niezb臋dn膮 wiedz臋 i do艣wiadczenie oraz dysponuj膮 potencja艂em techniczny i osobami zdolnymi do wykonania zam贸wienia lub przedstawi膮 pisemne zobowi膮zanie innych podmiot贸w do udost臋pnienia potencja艂u technicznego i os贸b zdolnych do wykonania zam贸wienia,

c) znajduj膮 si臋 w sytuacji ekonomicznej i finansowej zapewniaj膮cej wykonanie zam贸wienia,

d) nie podlegaj膮 wykluczeniu z post臋powania o udzielenie zam贸wienia.

Zamawiaj膮cy oceni spe艂nienie warunk贸w wymienionych w niniejszym rozdziale na podstawie z艂o偶onych przez Wykonawc臋 do oferty, o艣wiadcze艅 i dokument贸w.

Ocena spe艂niania warunk贸w dokonana zostanie na zasadzie:

聽聽聽聽聽聽聽聽聽聽聽聽聽聽聽聽聽聽聽聽聽聽聽聽聽聽聽聽聽聽聽聽聽聽聽聽聽聽聽聽聽聽聽聽聽 spe艂nia/ nie spe艂nia

12. W celu potwierdzenia, 偶e Wykonawca posiada uprawnienie do wykonywania okre艣lonej dzia艂alno艣ci lub czynno艣ci oraz nie podlega wykluczeniu na podstawie art. 24 ustawy z dnia 29 stycznia 2004 r. - Prawo zam贸wie艅 publicznych, zamawiaj膮cy 偶膮da, nast臋puj膮cych dokument贸w:

a) aktualnego odpisu z w艂a艣ciwego rejestru albo aktualnego za艣wiadczenia o wpisie do ewidencji dzia艂alno艣ci gospodarczej, je偶eli odr臋bne przepisy wymagaj膮 wpisu do rejestru lub zg艂oszenia do ewidencji dzia艂alno艣ci gospodarczej, wystawionego nie wcze艣niej ni偶 6 miesi臋cy przed up艂ywem terminu sk艂adania ofert:

b) o艣wiadczenie wykonawcy, 偶e nie posiada zaleg艂o艣ci podatkowej wobec Naczelnika Urz臋du Skarbowego,

c) o艣wiadczenie wykonawcy, 偶e nie posiada zaleg艂o艣ci wobec Zak艂adu Ubezpiecze艅 Spo艂ecznych w op艂acaniu sk艂adek na ubezpieczenie spo艂eczne, zdrowotne oraz Fundusz Pracy.

12.1.W celu potwierdzenia posiadania przez wykonawc臋 niezb臋dnej wiedzy i do艣wiadczenia oraz os贸b zdolnych do wykonania zam贸wienia, zamawiaj膮cy 偶膮da nast臋puj膮cych dokument贸w:

a) wykazu wykonanych rob贸t budowlanych w okresie ostatniego 1 roku, przed dniem wszcz臋cia post臋powania o udzielenie zam贸wienia, z podaniem ich warto艣ci oraz daty i miejsca wykonania oraz za艂膮czeniem dokument贸w potwierdzaj膮cych, 偶e roboty te zosta艂y wykonane nale偶ycie, z艂. nr 2 do siwz (minimum 2 referencje). Z wykazu musi wynika膰, 偶e Wykonawca opr贸cz remont贸w wykonywa艂 r贸wnie偶 roboty elektryczne,

b) zamawiaj膮cy 偶膮da za艂膮czenia kserokopii uprawnie艅 budowlanych w specjalno艣ciach obj臋tych przedmiotem zam贸wienia, w zakresie rob贸t budowlanych i instalacji elektrycznych,

c) 艣wiadectwa kwalifikacyjnego "E"- eksp instalacji elektrycznej do 1 kV,

d) aktualnego wpisu do w艂a艣ciwych Izb Zawodowych.

12.2. W celu potwierdzenia, 偶e wykonawca znajduje si臋 w sytuacji ekonomicznej i finansowej zapewniaj膮cej wykonanie zam贸wienia zamawiaj膮cy 偶膮da nast臋puj膮cych dokument贸w:

a) polisy, a w przypadku jej braku innego dokumentu potwierdzaj膮cego, 偶e wykonawca jest ubezpieczony od odpowiedzialno艣ci cywilnej w zakresie prowadzonej dzia艂alno艣ci.

12.3.Wype艂nione nast臋puj膮ce za艂膮czniki:

a) formularz ofertowy wykonawcy (za艂. nr 1 do swiz).

b) wykaz podobnych rob贸t (za艂. nr 2 do siwz),

d) o艣wiadczenie w trybie art.22 ust.1 pkt.1-4 ustawy Pzp (za艂. nr 3 do siwz).

12.4. Kosztorys ofertowy, kt贸ry musi by膰 integraln膮 cz臋艣ci膮 z艂o偶onej oferty. Podstaw膮 do opracowania przez Wykonawc臋 kosztorysu ofertowego jest przedmiar rob贸t, b臋d膮cy za艂膮cznikiem do siwz. Wykonawca mo偶e przyj膮膰 dowoln膮 form臋 i podstaw臋 wyceny rob贸t. W kosztorysie ofertowym Wykonawca musi poda膰, w jakim systemie wykonane b臋dzie docieplenie.

13. Miejsce i termin sk艂adania ofert: oferty nale偶y z艂o偶y膰 w sekretariacie Przedsi臋biorstwa Gospodarki Komunalnej i Mieszkaniowej Sp. z o.o., ul. ks. Piotra Wawrzyniaka 33, 88-100 Inowroc艂aw, do dnia 14 sierpnia 2009 r. do godziny 9:50.

14. Kryteria wyboru ofert:

聽聽聽 a)cena wykonania zam贸wienia80

聽聽聽聽 b) gwarancja20

15. Zamawiaj膮cy nie wymaga wadium.

16. Miejsce i termin otwarcia ofert: Przedsi臋biorstwo Gospodarki Komunalnej i Mieszkaniowej Sp. z o.o., ul. ks. Piotra Wawrzyniaka 33, 88-100 Inowroc艂aw, dnia 14 sierpnia 2009 r. o godzinie 10:00

17. Termin zwi膮zania ofert膮: 30 dni .

18. Zabezpieczenie nale偶ytego wykonania umowy (znwu) w wysoko艣ci 2 % od ustalonej warto艣ci zam贸wienia.

19. Zamawiaj膮cy nie przewiduje mo偶liwo艣ci udzielenia zam贸wie艅 uzupe艂niaj膮cych, o kt贸rych mowa w art. 67 ust.1 pkt 6, ustawy Prawo zam贸wie艅 publicznych.

Podpis:

聽聽聽聽聽聽

TypRozmiarPobierzKomentarzData dodaniaLicznik 
.DOC237 KB POBIERZSpecyfikacja istotnych warunk贸w zam贸wienia.2009-07-22 09:03:27440
.DOC66 KB POBIERZZa艂. nr 5 do siwz- STWiOR bud.2009-07-22 09:05:05411
.DOC127.5 KB POBIERZZa艂. nr 5 do siwz- STWiOR bud.2009-07-22 09:05:33435
.DOC43.5 KB POBIERZza艂. nr 5 do siwz- STWiOR elekt.2009-07-22 09:05:55423
.PDF50.3 KB POBIERZza艂. nr 6 do siw - przedmiar bud.2009-07-22 09:07:31430
.PDF64.9 KB POBIERZza艂. nr 6 do siwz- przedmiar elektr.2009-07-22 09:11:34461
.DOC89 KB POBIERZza艂. nr 7 do siwz- projekt budowlany2009-07-22 09:12:10534
graf.284.1 KB POBIERZza艂. nr 8 do siwz- rysunek2009-07-22 09:12:47398
graf.866 KB POBIERZOdpowiedzi na zapytania.2009-08-05 12:10:33472
graf.284.9 KB POBIERZOdpowiedzi na zapytania - s.22009-08-05 12:11:04399
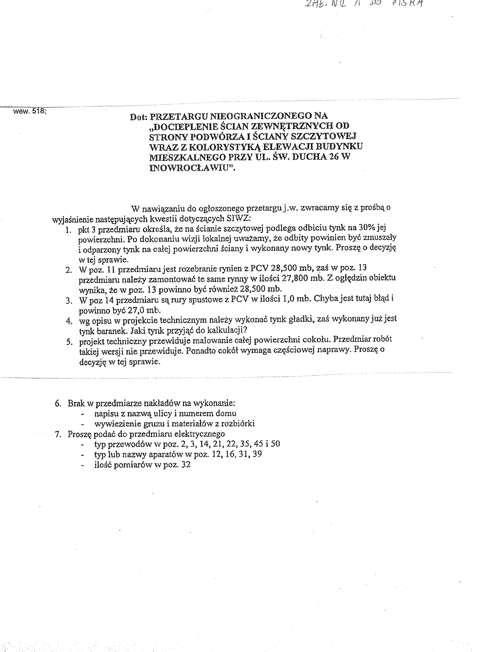
graf.733.1 KB POBIERZTre艣膰 pyta艅.2009-08-05 12:11:40441
graf.830 KB POBIERZZawiadomienie o wyborze najkorzystniejszej oferty.2009-08-21 08:36:52417
graf.668.3 KB POBIERZZbiorcze zestawienie ofert2009-08-21 08:37:23393
graf.415.8 KB POBIERZOferty odrzucone2009-08-21 08:37:42398
graf.515.5 KB POBIERZStreszczenie oceny i por贸wnanie z艂o偶onych ofert.2009-08-21 08:38:21392
graf.972.8 KB POBIERZOg艂oszenie o udzieleniu zam贸wienia BZP nr 147145-20092009-09-03 14:36:13420
graf.574.7 KB POBIERZs.22009-09-03 14:36:39394

Autor : kg
Zredagowa艂(a) : Krystyna Glonek
Data wprowadzenia : 2009-07-22 09:02:42
Data ostatniej modyfikacji : 2009-07-22 09:02:42
Liczba wy艣wietle艅 : 1620



licznik odwiedzin: 5741280