logo
Zam贸wienia publiczne » Sierpie艅 2009
21/08/2009 Og艂oszenie o wszcz臋ciu post臋powania.

"Docieplenie dachu z wymian膮 pokrycia na budynku przy ulicy Szosa Bydgoska 18 w Inowroc艂awiu".

Numer sprawy: DMP. 32/2009聽聽聽聽聽聽聽聽聽聽聽聽聽聽聽聽聽聽聽聽聽聽聽聽聽聽聽聽聽聽聽聽聽聽Inowroc艂aw, dnia 21 sierpnia 2009 r.聽聽

OG艁OSZENIEOWSZCZ臉CIUPOST臉POWANIA

Numer og艂oszenia w BZP: 137989 - 2009;

data zamieszczenia 21/08/2009 r.

1. Nazwa i adres Zamawiaj膮cego

Nazwa: Wsp贸lnota Mieszkaniowa przy ulicy Szosa Bydgoska 18 w Inowroc艂awiu w imieniu i na rzecz, kt贸rej dzia艂a na mocy umowy o zarz膮dzanie nieruchomo艣ci膮 wsp贸ln膮, Przedsi臋biorstwo Gospodarki Komunalnej i Mieszkaniowej Sp. z o.o. w Inowroc艂awiu

Adres pocztowy:

Ulica:

ks. Piotra Wawrzyniaka 33

Miejscowo艣膰:聽聽聽聽聽聽聽聽聽聽聽聽聽聽 Kod pocztowy:聽聽聽聽聽聽聽聽聽聽聽聽聽聽聽 Wojew贸dztwo:

Inowroc艂aw聽聽聽聽聽聽聽聽聽聽聽聽聽聽聽聽聽聽88 - 100聽聽聽聽聽聽聽聽聽聽聽聽聽聽聽聽聽聽聽聽聽聽聽聽 聽聽kujawsko - pomorskie

S膮d Rejonowy w Bydgoszczy, XIII Wydzia艂 Gospodarczy Krajowego Rejestru S膮dowego Numer KRS 0000059483

REGON: 091581150 NIP: 556-080-08-85

Kapita艂 zak艂adowy Sp贸艂ki: 2聽518聽500, 00 z艂

Konto: Bank Zachodni WBK S. A.O/ Inowroc艂aw聽聽聽聽聽 88 1090 1069 0000 0000 0701 3956

2. Tryb post臋powania: przetarg nieograniczony

Rodzaj zam贸wienia: robota budowlana

Wsp贸lny S艂ownik Zam贸wie艅 CPV: 45.26.00.00 - 7, 45.42.10.00- 4

3. Adres strony internetowej, na kt贸rej dost臋pna jest specyfikacja istotnych warunk贸w zam贸wienia: http://pgkim-inowroclaw.samorzady.pl

Op艂ata za otrzymanie specyfikacji istotnych warunk贸w zam贸wienia b臋dzie pokrywa膰 jedynie koszty jej druku oraz przekazania.

Wykonawca zainteresowany post臋powaniem powinien z艂o偶y膰 wniosek u zamawiaj膮cego z podaniem wszystkich danych firmy- niezb臋dnych do przekazywania zmian i zapyta艅 dotycz膮cych powy偶szego post臋powania.

4. Okre艣lenie przedmiotu zam贸wienia

Nazwa nadana zam贸wieniu: "Docieplenie dachu z wymian膮 pokrycia na budynku przy ulicy Szosa Bydgoska 18 w Inowroc艂awiu".

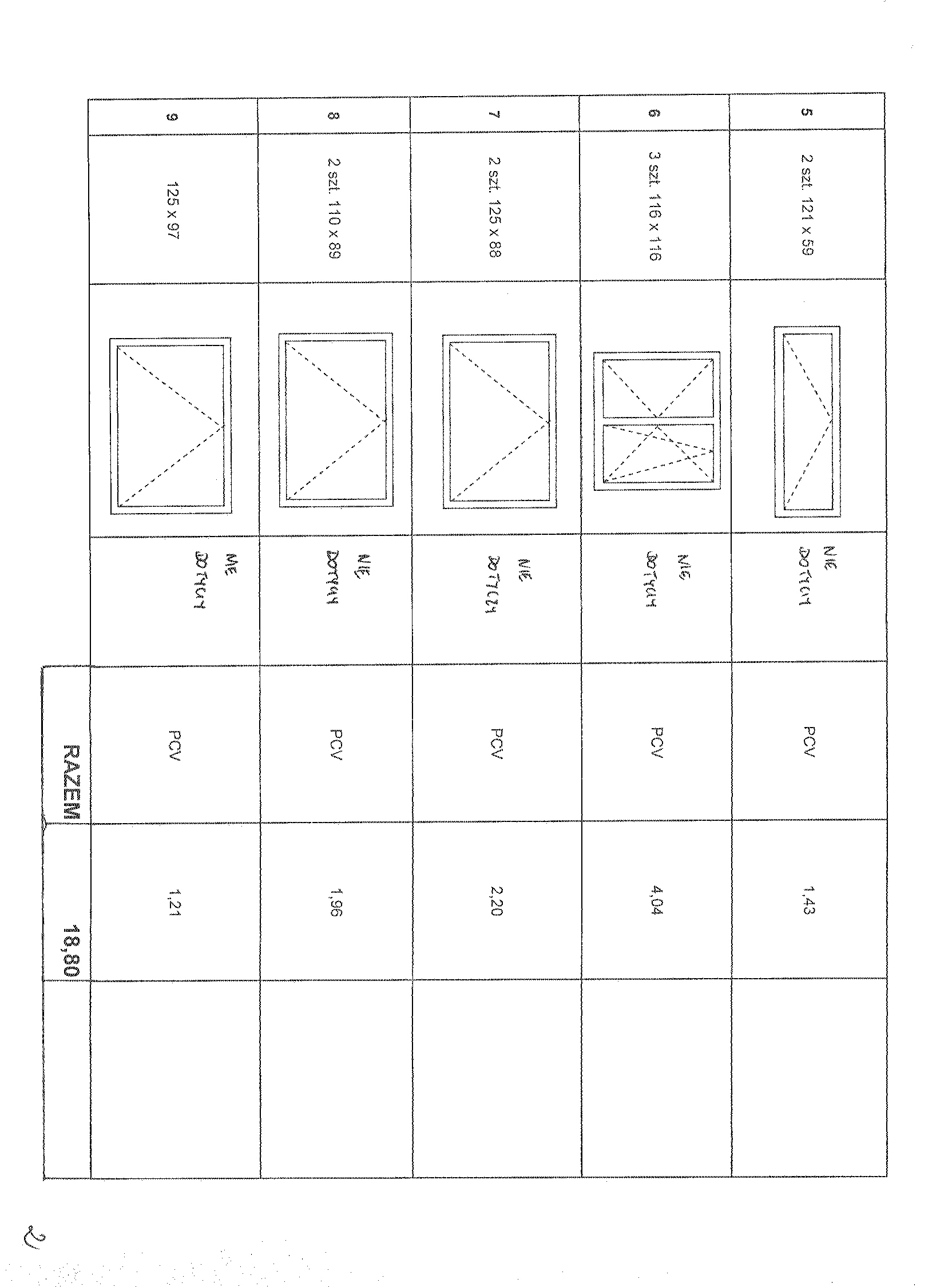
Zam贸wienie obejmuje: rozbi贸rk臋 i pokrycie dachu blach膮, izolacj臋 foli膮, izolacj臋 ciepln膮 i przeciwd藕wi臋kow膮 z we艂ny mineralnej, rozebranie rynien, rur spustowych, uzupe艂nienie kolanek, wymian臋 pokrycia mur贸w ogniowych, uzupe艂nienie obr贸bek blacharskich, wywiezienie gruzu, utylizacja gruzu, wymiana stolarki okiennej w cz臋艣ciach wsp贸lnych.

5. Nie dopuszcza si臋 sk艂adania ofert cz臋艣ciowych.

6. Nie dopuszcza si臋 sk艂adania ofert wariantowych.

7. Zamawiaj膮cy nie przewiduje zawarcia umowy ramowej, jak r贸wnie偶 nie dokona wyboru oferty najkorzystniejszej z zastosowaniem aukcji elektronicznej.

8. Zamawiaj膮cy nie przewiduje mo偶liwo艣ci ustanowienia dynamicznego systemu zakup贸w.

9. Osobami uprawnionymi do kontakt贸w z wykonawcami s膮:

a) w cz臋艣ci formalnej zam贸wienia - Krystyna Glonek, tel.052 35聽 64 304,

b) w cz臋艣ci merytorycznej zam贸wienia - Anna Nawrocka, tel. 052 35 64聽325.

10. Termin realizacji zam贸wienia: 3 miesi膮ce od podpisania umowy.

11. O udzielenie zam贸wienia mog膮 ubiega膰 si臋 wy艂膮cznie Wykonawcy, kt贸rzy:

a) posiadaj膮 uprawnienia do wykonywania okre艣lonej dzia艂alno艣ci lub czynno艣ci, je偶eli ustawy nak艂adaj膮 obowi膮zek posiadania takich uprawnie艅,

b) posiadaj膮 niezb臋dn膮 wiedz臋 i do艣wiadczenie oraz dysponuj膮 potencja艂em techniczny i osobami zdolnymi do wykonania zam贸wienia lub przedstawi膮 pisemne zobowi膮zanie innych podmiot贸w do udost臋pnienia potencja艂u technicznego i os贸b zdolnych do wykonania zam贸wienia,

c) znajduj膮 si臋 w sytuacji ekonomicznej i finansowej zapewniaj膮cej wykonanie zam贸wienia,

d) nie podlegaj膮 wykluczeniu z post臋powania o udzielenie zam贸wienia.

Zamawiaj膮cy oceni spe艂nienie warunk贸w wymienionych w niniejszym rozdziale na podstawie z艂o偶onych przez Wykonawc臋 do oferty, o艣wiadcze艅 i dokument贸w.

Ocena spe艂niania warunk贸w dokonana zostanie na zasadzie:

聽聽聽聽聽聽聽聽聽聽聽聽聽聽聽聽聽聽聽聽聽聽聽聽聽聽聽聽聽聽聽聽聽聽聽聽聽聽聽聽聽聽 spe艂nia/ nie spe艂nia

12. W celu potwierdzenia, 偶e Wykonawca posiada uprawnienie do wykonywania okre艣lonej dzia艂alno艣ci lub czynno艣ci oraz nie podlega wykluczeniu na podstawie art. 24 ustawy z dnia 29 stycznia 2004 r. - Prawo zam贸wie艅 publicznych, zamawiaj膮cy 偶膮da, nast臋puj膮cych dokument贸w:

a) aktualnego odpisu z w艂a艣ciwego rejestru albo aktualnego za艣wiadczenia o wpisie do ewidencji dzia艂alno艣ci gospodarczej, je偶eli odr臋bne przepisy wymagaj膮 wpisu do rejestru lub zg艂oszenia do ewidencji dzia艂alno艣ci gospodarczej, wystawionego nie wcze艣niej ni偶 6 miesi臋cy przed up艂ywem terminu sk艂adania ofert:

b) o艣wiadczenia wykonawcy, 偶e nie posiada zaleg艂o艣ci podatkowej wobec Naczelnika Urz臋du Skarbowego,

c) o艣wiadczenia wykonawcy, 偶e nie posiada zaleg艂o艣ci wobec Zak艂adu Ubezpiecze艅 Spo艂ecznych w op艂acaniu sk艂adek na ubezpieczenie spo艂eczne, zdrowotne oraz Fundusz Pracy.

12.1.W celu potwierdzenia posiadania przez wykonawc臋 niezb臋dnej wiedzy i do艣wiadczenia oraz os贸b zdolnych do wykonania zam贸wienia, zamawiaj膮cy 偶膮da nast臋puj膮cych dokument贸w:

a) wykazu wykonanych rob贸t budowlanych w okresie ostatniego 1 roku, przed dniem wszcz臋cia post臋powania o udzielenie zam贸wienia, z podaniem ich warto艣ci oraz daty i miejsca wykonania oraz za艂膮czeniem dokument贸w potwierdzaj膮cych, 偶e roboty te zosta艂y wykonane nale偶ycie, z艂. nr 2 do siwz (minimum 2 referencje).

b) zamawiaj膮cy 偶膮da za艂膮czenia kserokopii uprawnie艅 budowlanych w specjalno艣ci obj臋tych przedmiotem zam贸wienia - w zakresie rob贸t og贸lnobudowlanych,

c) aktualnego wpisu do w艂a艣ciwych Izb Zawodowych.

12.2. W celu potwierdzenia, 偶e wykonawca znajduje si臋 w sytuacji ekonomicznej i finansowej zapewniaj膮cej wykonanie zam贸wienia zamawiaj膮cy 偶膮da nast臋puj膮cych dokument贸w:

a) polisy, a w przypadku jej braku innego dokumentu potwierdzaj膮cego, 偶e wykonawca jest ubezpieczony od odpowiedzialno艣ci cywilnej w zakresie prowadzonej dzia艂alno艣ci.

12.3.Wype艂nione nast臋puj膮ce za艂膮czniki:

a) formularz ofertowy wykonawcy (za艂. nr 1 do swiz).

b) wykaz podobnych rob贸t (za艂. nr 2 do siwz),

d) o艣wiadczenie w trybie art.22 ust.1 pkt.1-4 ustawy Pzp (za艂. nr 3 do siwz).

12.4. Kosztorys ofertowy, kt贸ry musi by膰 integraln膮 cz臋艣ci膮 z艂o偶onej oferty. Podstaw膮 do opracowania przez Wykonawc臋 kosztorysu ofertowego jest przedmiar rob贸t, b臋d膮cy za艂膮cznikiem nr 6 do siwz.

12.5. Kalkulacj臋 koszt贸w wymiany okien (kosztorys ofertowy), kt贸ra musi by膰 integraln膮 cz臋艣ci膮 z艂o偶onej oferty. Podstaw膮 do opracowania kalkulacji koszt贸w wymiany okien jest za艂膮cznik nr 7 do siwz.

Wykonawca mo偶e przyj膮膰 dowoln膮 form臋 i podstaw臋 wyceny rob贸t.

13. Miejsce i termin sk艂adania ofert: Przedsi臋biorstwo Gospodarki Komunalnej i Mieszkaniowej Sp. z o.o., ul. ks. Piotra Wawrzyniaka 33, 88-100 Inowroc艂aw, do dnia 14 wrze艣nia 2009 r. do godziny 9:50, sekretariat 1 pi臋tro.

14. Kryteria wyboru ofert:

聽聽聽 a)cena wykonania zam贸wienia80

聽聽聽聽 b) gwarancja20

15. Zamawiaj膮cy nie wymaga wadium.

16. Miejsce i termin otwarcia ofert: Przedsi臋biorstwo Gospodarki Komunalnej i Mieszkaniowej Sp. z o.o., ul. ks. Piotra Wawrzyniaka 33, 88-100 Inowroc艂aw, dnia 14 wrze艣nia 2009 r. o godzinie 10:00, salka konferencyjna 1 pi臋tro.

17. Termin zwi膮zania ofert膮: 30 dni .

18. Zabezpieczenie nale偶ytego wykonania umowy (znwu) w wysoko艣ci 2 % od ustalonej warto艣ci zam贸wienia.

19. Zamawiaj膮cy nie przewiduje mo偶liwo艣ci udzielenia zam贸wie艅 uzupe艂niaj膮cych, o kt贸rych mowa w art. 67 ust.1 pkt 6, ustawy Prawo zam贸wie艅 publicznych.

Podpis:

聽聽聽聽聽聽

TypRozmiarPobierzKomentarzData dodaniaLicznik 
.DOC233.5 KB POBIERZSpecyfikacja istotnych warunk贸w zam贸wienia.2009-08-21 13:09:34467
.DOC142 KB POBIERZza艂. nr 5 do siwz- STWiOR2009-08-21 13:10:22417
.PDF26.8 KB POBIERZza艂. nr 6 do siwz- przedmiar2009-08-21 13:11:25481
graf.516 KB POBIERZza艂. nr 7 do siwz-klakulacja wymiany okien2009-08-21 13:29:34461
graf.488.9 KB POBIERZza艂. nr 7 do siwz- kalkulacja wymiany okien2009-08-21 13:30:09422
graf.926.2 KB POBIERZOdpowiedzi na zapytania2009-09-04 11:23:20452
graf.855 KB POBIERZTre艣膰 pyta艅2009-09-04 11:28:02442
graf.757.5 KB POBIERZOdpowiedzi na zapytania II2009-09-07 11:32:15464
graf.314.6 KB POBIERZTre艣膰 pyta艅 II2009-09-07 11:32:36437
graf.835.2 KB POBIERZZawiadomienie o wyborze najkorzystniejszej oferty.2009-09-18 09:23:44392
graf.584.8 KB POBIERZZbiorcze zestawienie ofert.2009-09-18 09:24:23405
graf.513.6 KB POBIERZStreszczenie oceny i por贸wnanie z艂o偶onych ofert.2009-09-18 09:24:58402
graf.920.6 KB POBIERZOg艂oszenie o udzieleniu zam贸wienia BZP nr 168881-20092009-10-02 15:06:47448
graf.418.5 KB POBIERZs.22009-10-02 15:07:04420

Autor : kg
Zredagowa艂(a) : Krystyna Glonek
Data wprowadzenia : 2009-08-21 13:03:55
Data ostatniej modyfikacji : 2009-08-21 13:03:55
Liczba wy艣wietle艅 : 1586



licznik odwiedzin: 5742441